EasyManua.ls Logo

LG AUUW366D2 - Sound Levels

LG AUUW366D2
158 pages
Print Icon
To Next Page IconTo Next Page
To Next Page IconTo Next Page
To Previous Page IconTo Previous Page
To Previous Page IconTo Previous Page
Loading...
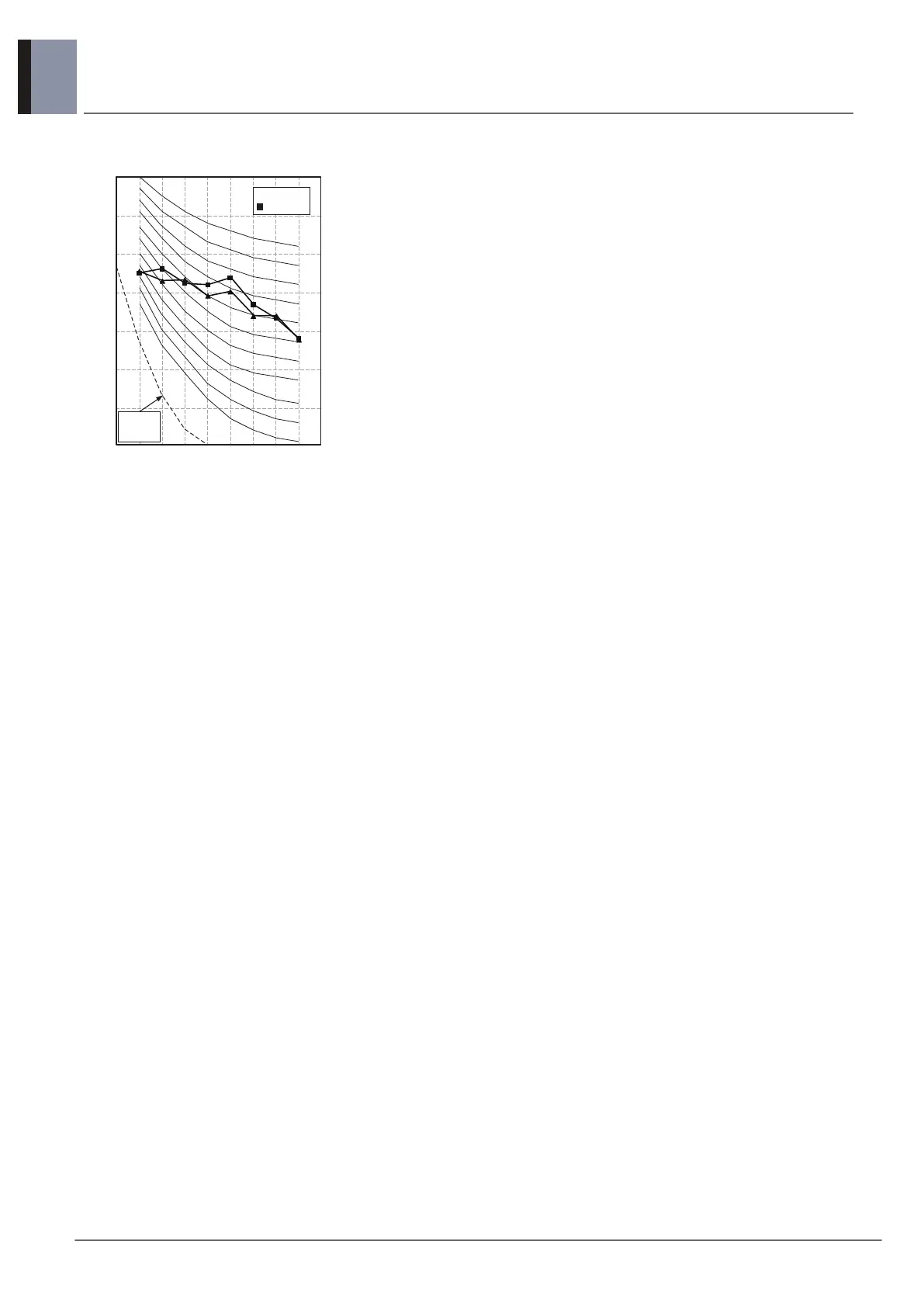
10. Sound Levels
23
Single CAC Outdoor Unit
Compact Inverter
AUUW36GC0 [UU36WC U40]
Octave Band Center Frequency (Hz)
Octave Band Sound Pressure Level (0dB = 20μPa)
10
20
30
40
50
60
70
80
63 125 250 500 1000 2000 4000 8000
NC-15
NC-20
NC-25
NC-30
NC-35
NC-40
NC-45
NC-50
NC-55
NC-60
NC-65
Approximate
Hearing
Threshold
Cooling
Heating

Related product manuals