EasyManua.ls Logo

LG CE-29Q46ET - Page 23

LG CE-29Q46ET
28 pages
Print Icon
To Next Page IconTo Next Page
To Next Page IconTo Next Page
To Previous Page IconTo Previous Page
To Previous Page IconTo Previous Page
Loading...
- 23 -
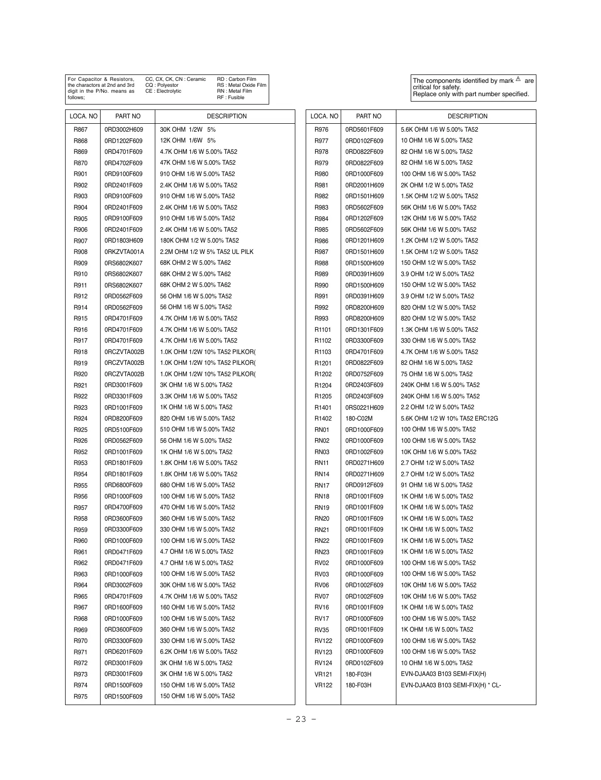
LOCA. NO PART NO DESCRIPTION
R867
R868
R869
R870
R901
R902
R903
R904
R905
R906
R907
R908
R909
R910
R911
R912
R914
R915
R916
R917
R918
R919
R920
R921
R922
R923
R924
R925
R926
R952
R953
R954
R955
R956
R957
R958
R959
R960
R961
R962
R963
R964
R965
R967
R968
R969
R970
R971
R972
R973
R974
R975
0RD3002H609
0RD1202F609
0RD4701F609
0RD4702F609
0RD9100F609
0RD2401F609
0RD9100F609
0RD2401F609
0RD9100F609
0RD2401F609
0RD1803H609
0RKZVTA001A
0RS6802K607
0RS6802K607
0RS6802K607
0RD0562F609
0RD0562F609
0RD4701F609
0RD4701F609
0RD4701F609
0RCZVTA002B
0RCZVTA002B
0RCZVTA002B
0RD3001F609
0RD3301F609
0RD1001F609
0RD8200F609
0RD5100F609
0RD0562F609
0RD1001F609
0RD1801F609
0RD1801F609
0RD6800F609
0RD1000F609
0RD4700F609
0RD3600F609
0RD3300F609
0RD1000F609
0RD0471F609
0RD0471F609
0RD1000F609
0RD3002F609
0RD4701F609
0RD1600F609
0RD1000F609
0RD3600F609
0RD3300F609
0RD6201F609
0RD3001F609
0RD3001F609
0RD1500F609
0RD1500F609
30K OHM 1/2W 5%
12K OHM 1/6W 5%
4.7K OHM 1/6 W 5.00% TA52
47K OHM 1/6 W 5.00% TA52
910 OHM 1/6 W 5.00% TA52
2.4K OHM 1/6 W 5.00% TA52
910 OHM 1/6 W 5.00% TA52
2.4K OHM 1/6 W 5.00% TA52
910 OHM 1/6 W 5.00% TA52
2.4K OHM 1/6 W 5.00% TA52
180K OHM 1/2 W 5.00% TA52
2.2M OHM 1/2 W 5% TA52 UL PILK
68K OHM 2 W 5.00% TA62
68K OHM 2 W 5.00% TA62
68K OHM 2 W 5.00% TA62
56 OHM 1/6 W 5.00% TA52
56 OHM 1/6 W 5.00% TA52
4.7K OHM 1/6 W 5.00% TA52
4.7K OHM 1/6 W 5.00% TA52
4.7K OHM 1/6 W 5.00% TA52
1.0K OHM 1/2W 10% TA52 PILKOR(
1.0K OHM 1/2W 10% TA52 PILKOR(
1.0K OHM 1/2W 10% TA52 PILKOR(
3K OHM 1/6 W 5.00% TA52
3.3K OHM 1/6 W 5.00% TA52
1K OHM 1/6 W 5.00% TA52
820 OHM 1/6 W 5.00% TA52
510 OHM 1/6 W 5.00% TA52
56 OHM 1/6 W 5.00% TA52
1K OHM 1/6 W 5.00% TA52
1.8K OHM 1/6 W 5.00% TA52
1.8K OHM 1/6 W 5.00% TA52
680 OHM 1/6 W 5.00% TA52
100 OHM 1/6 W 5.00% TA52
470 OHM 1/6 W 5.00% TA52
360 OHM 1/6 W 5.00% TA52
330 OHM 1/6 W 5.00% TA52
100 OHM 1/6 W 5.00% TA52
4.7 OHM 1/6 W 5.00% TA52
4.7 OHM 1/6 W 5.00% TA52
100 OHM 1/6 W 5.00% TA52
30K OHM 1/6 W 5.00% TA52
4.7K OHM 1/6 W 5.00% TA52
160 OHM 1/6 W 5.00% TA52
100 OHM 1/6 W 5.00% TA52
360 OHM 1/6 W 5.00% TA52
330 OHM 1/6 W 5.00% TA52
6.2K OHM 1/6 W 5.00% TA52
3K OHM 1/6 W 5.00% TA52
3K OHM 1/6 W 5.00% TA52
150 OHM 1/6 W 5.00% TA52
150 OHM 1/6 W 5.00% TA52
LOCA. NO PART NO DESCRIPTION
R976
R977
R978
R979
R980
R981
R982
R983
R984
R985
R986
R987
R988
R989
R990
R991
R992
R993
R1101
R1102
R1103
R1201
R1202
R1204
R1205
R1401
R1402
RN01
RN02
RN03
RN11
RN14
RN17
RN18
RN19
RN20
RN21
RN22
RN23
RV02
RV03
RV06
RV07
RV16
RV17
RV35
RV122
RV123
RV124
VR121
VR122
0RD5601F609
0RD0102F609
0RD0822F609
0RD0822F609
0RD1000F609
0RD2001H609
0RD1501H609
0RD5602F609
0RD1202F609
0RD5602F609
0RD1201H609
0RD1501H609
0RD1500H609
0RD0391H609
0RD1500H609
0RD0391H609
0RD8200H609
0RD8200H609
0RD1301F609
0RD3300F609
0RD4701F609
0RD0822F609
0RD0752F609
0RD2403F609
0RD2403F609
0RS0221H609
180-C02M
0RD1000F609
0RD1000F609
0RD1002F609
0RD0271H609
0RD0271H609
0RD0912F609
0RD1001F609
0RD1001F609
0RD1001F609
0RD1001F609
0RD1001F609
0RD1001F609
0RD1000F609
0RD1000F609
0RD1002F609
0RD1002F609
0RD1001F609
0RD1000F609
0RD1001F609
0RD1000F609
0RD1000F609
0RD0102F609
180-F03H
180-F03H
5.6K OHM 1/6 W 5.00% TA52
10 OHM 1/6 W 5.00% TA52
82 OHM 1/6 W 5.00% TA52
82 OHM 1/6 W 5.00% TA52
100 OHM 1/6 W 5.00% TA52
2K OHM 1/2 W 5.00% TA52
1.5K OHM 1/2 W 5.00% TA52
56K OHM 1/6 W 5.00% TA52
12K OHM 1/6 W 5.00% TA52
56K OHM 1/6 W 5.00% TA52
1.2K OHM 1/2 W 5.00% TA52
1.5K OHM 1/2 W 5.00% TA52
150 OHM 1/2 W 5.00% TA52
3.9 OHM 1/2 W 5.00% TA52
150 OHM 1/2 W 5.00% TA52
3.9 OHM 1/2 W 5.00% TA52
820 OHM 1/2 W 5.00% TA52
820 OHM 1/2 W 5.00% TA52
1.3K OHM 1/6 W 5.00% TA52
330 OHM 1/6 W 5.00% TA52
4.7K OHM 1/6 W 5.00% TA52
82 OHM 1/6 W 5.00% TA52
75 OHM 1/6 W 5.00% TA52
240K OHM 1/6 W 5.00% TA52
240K OHM 1/6 W 5.00% TA52
2.2 OHM 1/2 W 5.00% TA52
5.6K OHM 1/2 W 10% TA52 ERC12G
100 OHM 1/6 W 5.00% TA52
100 OHM 1/6 W 5.00% TA52
10K OHM 1/6 W 5.00% TA52
2.7 OHM 1/2 W 5.00% TA52
2.7 OHM 1/2 W 5.00% TA52
91 OHM 1/6 W 5.00% TA52
1K OHM 1/6 W 5.00% TA52
1K OHM 1/6 W 5.00% TA52
1K OHM 1/6 W 5.00% TA52
1K OHM 1/6 W 5.00% TA52
1K OHM 1/6 W 5.00% TA52
1K OHM 1/6 W 5.00% TA52
100 OHM 1/6 W 5.00% TA52
100 OHM 1/6 W 5.00% TA52
10K OHM 1/6 W 5.00% TA52
10K OHM 1/6 W 5.00% TA52
1K OHM 1/6 W 5.00% TA52
100 OHM 1/6 W 5.00% TA52
1K OHM 1/6 W 5.00% TA52
100 OHM 1/6 W 5.00% TA52
100 OHM 1/6 W 5.00% TA52
10 OHM 1/6 W 5.00% TA52
EVN-DJAA03 B103 SEMI-FIX(H)
EVN-DJAA03 B103 SEMI-FIX(H) * CL-
For Capacitor & Resistors,
the charactors at 2nd and 3rd
digit in the P/No. means as
follows;
CC, CX, CK, CN : Ceramic
CQ : Polyestor
CE : Electrolytic
RD : Carbon Film
RS : Metal Oxide Film
RN : Metal Film
RF : Fusible
The components identified by mark are
critical for safety.
Replace only with part number specified.
All manuals and user guides at all-guides.com

Related product manuals