EasyManua.ls Logo

Magic Chef DU40J - Page 81

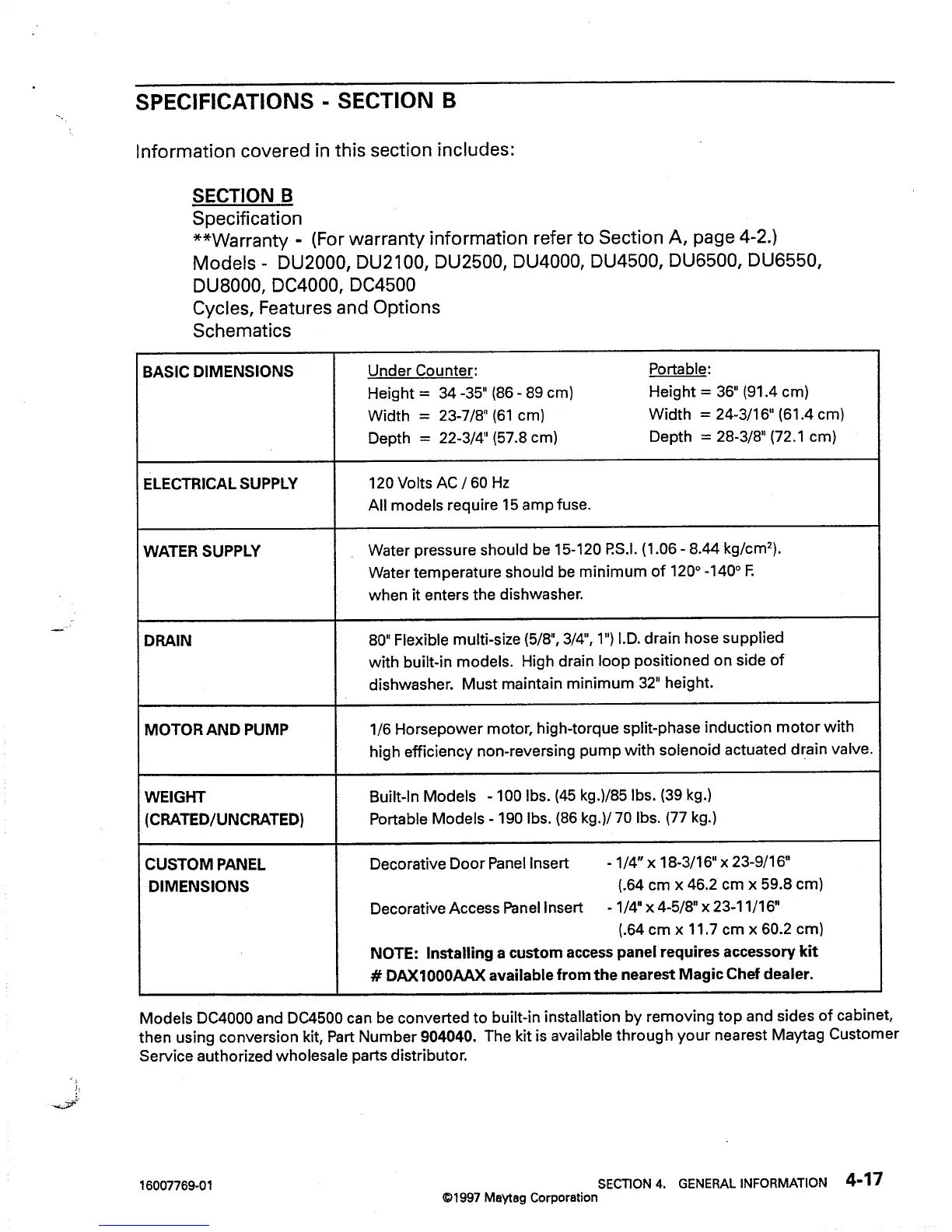
Magic Chef DU40J
94 pages
Print Icon
To Next Page IconTo Next Page
To Next Page IconTo Next Page
To Previous Page IconTo Previous Page
To Previous Page IconTo Previous Page
Loading...

Related product manuals