EasyManua.ls Logo

Marantz CD-73 - Page 27

Marantz CD-73
36 pages
Print Icon
To Next Page IconTo Next Page
To Next Page IconTo Next Page
To Previous Page IconTo Previous Page
To Previous Page IconTo Previous Page
Loading...
Seesaw
nnn
an
1
1
1
1
1
1
1
1
1
1
sae
ero
ow
nnn
in
See
oe
omer
os
os
soe
ero
nr
i
er
m
360Y
PART
NO.
GM21447520
GM21410040
GM21482530
GD05105140
GD05104140
GD05474140
GM21447520
GD05104140
GD05223140
GD05223140
GD05682140
GD05104140
GD05333140
GM21422110
GM21422110
GD05682140
GM21412120
GM21410030
GD05105140
GD05472140
GD05563140
GD05334140
GM21410030
GD05472140
GD05472140
GD05474140
G0D05473140
GD05033140
GD05565140
G005565140
GD05472140
GD05154140
GD05101140
GD05683140
GD05683140
GD05681140
GD05472140
GD05104140
GD05333140
GA05220020
GD05223140
GD05272140
GD05682140
GD05683140
GD05683140
GD05332140
GD05332140
GD05332140
GD05222140
GD05222140
GD05472140
GM21447520
GM21447520
GD05474140
GM21447520
GM21447520
GD05103140
GD05223140
GM21468110
GM21468110
DESCRIPTION
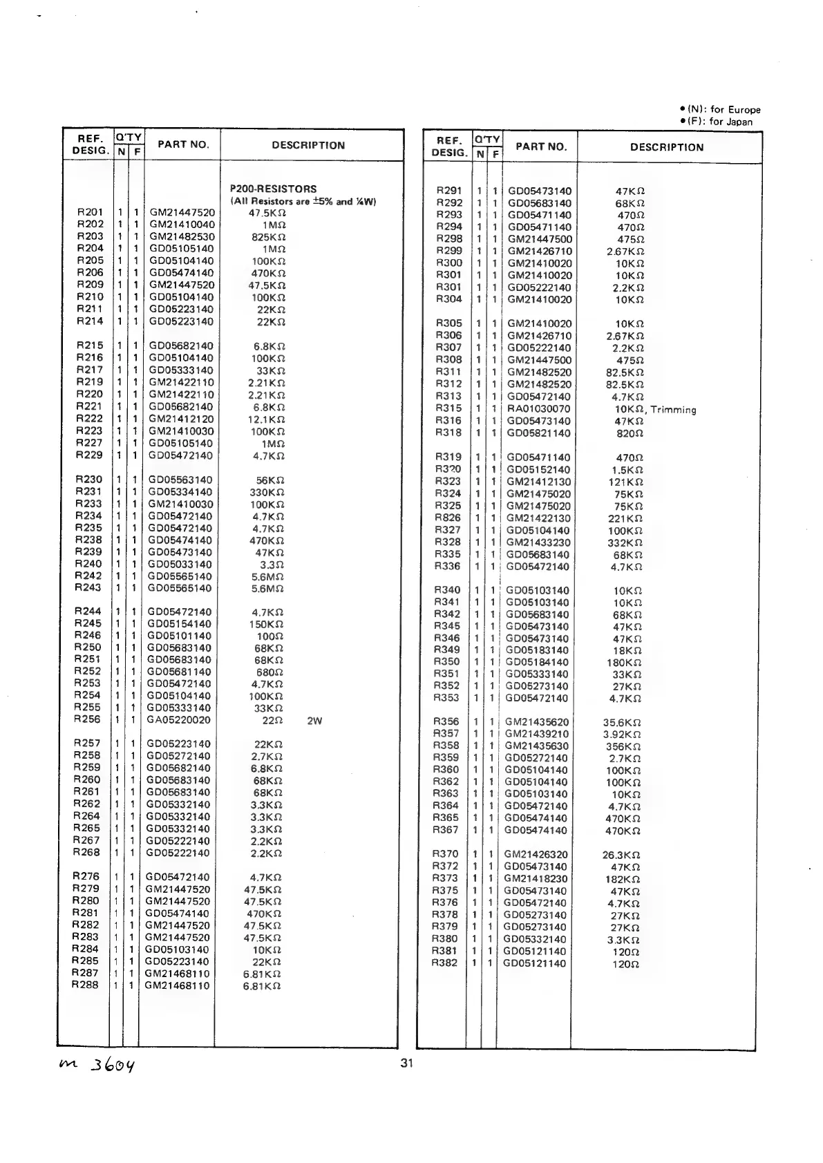
P200-RESISTORS
(All
Resistors
are
5%
and
%W)
47.5KQ
1MQ
825K2Q
1MQ
100KQ
470K2
47.
5KQ
100KQ2
22KQ
22KQ
6.8KQ
100KQ
33K2
2.21K2
2.21KQ
6.8K2
12.1KQ
100KQ
1MQ
4.7K2
56KQ
330KQ
100K2
4.7KQ
4.7KQ
470KQ
47KQ
3.32
5.6M2
5.6M2
4.7KQ
150K2
1002
68KQ
68KQ
6802
4.7KQ
TOOK
33KQ
222
22KQ
2.7KQ
6.8K2
68K2
68KQ
3.3KQ
3.3K2
3.3K2
2.2KQ
2.2KQ
4.7KQ
47
5KQ
47
5KQ
470K2
47
5KQ
47
5KQ
10K2
22KQ
6.81K2
6.81K2
seer
mero
nr
nr
wr
Peo
one
oo
nn
un
Soe
oo
eo
eo
or
ws
1
1
1
1
1
1
1
1
1
1
2B
eo
or
or os os
sr
ee
ee
ee
ee
ee
ee
ey
ee
ee
ne
ee
ere
ee
so
ewww
nou
ee
ee
en
ee
ee
ee
ee
ee
en
See
oor
nner
Peo
ren
nn
inn
ot
es
a
ns
PART
NO.
GD05473140
GD05683140
GD05471140
G0D05471140
GM21447500
GM21426710
GM21410020
GM21410020
GD05222140
GM21410020
|
GM21410020
GM21426710
GD05222140
|
GM21447500
GM21482520
|
GM21482520
GD05472140
|
RAO1030070
GD05473140
GD05821140
GD05471140
GD05152140
GM21412130
GM21475020
GM21475020
|
GM21422130
GD05104140
GM21433230
GD05683140
GD05472140
'
GDO5103140
GD05103140
|
GD05683140
|
GD05473140
GD05473140
GD05183140
|
GDO5184140
|
GD05333140
GD05273140
|
GD05472140
GM21435620
|
GM21439210
GM21435630
G005272140
GD05104140
GD05104140
GD05103140
GD05472140
GD05474140
GD05474140
GM21426320
GD05473140
GM21418230
GD05473140
GD05472140
GD05273140
GD05273140
GD05332140
GD05121140
GD05121140
@(N):
for
Europe
@(F):
for
Japan
DESCRIPTION
47KQ
68K2
4702
4702
4782
2.67KQ
10K2
10KQ
2.2KQ
10KQ2
10KQ
267KQ
2.2K2
4752
82.5KQ
82.5KQ
4.7KQ
10KQ,
Trimming
47KQ
8202
4702
1.5KQ2
121KQ
75KQ
75KQ
221K2
100K2
332K2
68K2
4.7KQ
10K2
10KQ
68K2
47KQ
47KQ
18K2
180KQ
33K2
27K2Q
4.7KQ
35.6KQ
3.92KQ
356KQ
2.7KQ
100K2
100K2
10K2
4.7KQ
470KQ
470K
26.3KQ2
47KQ
182K
47KQ
4.7KQ
27KQ
27K2
3.3K2
1202
1202

Other manuals for Marantz CD-73

Related product manuals