EasyManua.ls Logo

Mastervolt MASS 24/25-2 - Characteristics (230 V AC)

Mastervolt MASS 24/25-2
28 pages
Print Icon
To Next Page IconTo Next Page
To Next Page IconTo Next Page
To Previous Page IconTo Previous Page
To Previous Page IconTo Previous Page
Loading...
24
Mass 24/15-2, 24/25-2, 24/25-2 DNV, 24/25-2 (large cabinet) User and Installation Manual
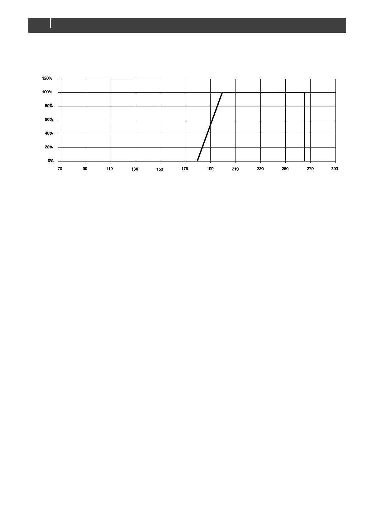
8.3 Characteristics (230 V AC)
Figure 12: Charge current versus input voltage
Charge current vs input voltage
Charger current (%)

Table of Contents

Other manuals for Mastervolt MASS 24/25-2

Related product manuals