EasyManua.ls Logo

Mazda MX-30 2022 - Page 526

Mazda MX-30 2022
546 pages
Print Icon
To Next Page IconTo Next Page
To Next Page IconTo Next Page
To Previous Page IconTo Previous Page
To Previous Page IconTo Previous Page
Loading...
Canada
Customer Information and Reporting Safety Defects
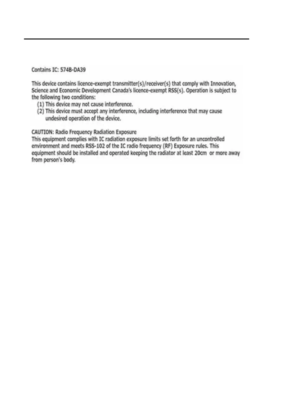
Declaration of Conformity
8-38
MX30_8JD4-EA21G_Edition4_new 2021-8-5 15:25:29

Table of Contents