EasyManua.ls Logo

MC Smart Controls FL-1000 - Troubleshooting Guide

Default Icon
10 pages
Print Icon
To Next Page IconTo Next Page
To Next Page IconTo Next Page
To Previous Page IconTo Previous Page
To Previous Page IconTo Previous Page
Loading...
9
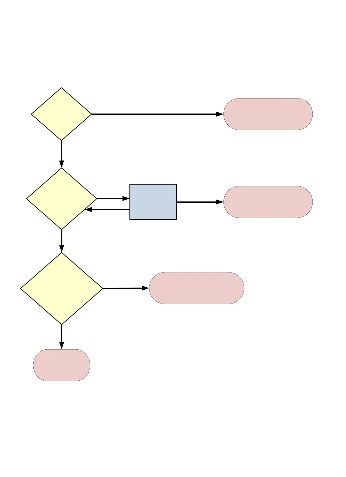
Troubleshooting
Can you see the
FL-1000 network on
your smart device
Can you connect to the FL-
1000 network with your
smart device
Reboot the FL-1000
If after rebooting the unit you still cannot
see the FL-1000 network or connect to it
the unit is defective.
Yes
Yes
No
No
The unit is defective.
No
If WIFI network does not show up in Smart
Device WIFI network list the processor or
firmware is corrupted or defective or the WIFI
module is defective. Send controller back
Try to connect to the FL-1000
User Interface. Can you bring up
User Interface in Browser
Everything is working
continue setup