EasyManua.ls Logo

McQuay M5WM 015GR - Refrigeration Cycle Diagram; Cooling Only Models

McQuay M5WM 015GR
118 pages
Print Icon
To Next Page IconTo Next Page
To Next Page IconTo Next Page
To Previous Page IconTo Previous Page
To Previous Page IconTo Previous Page
Loading...
0
10
20
30
40
50
60
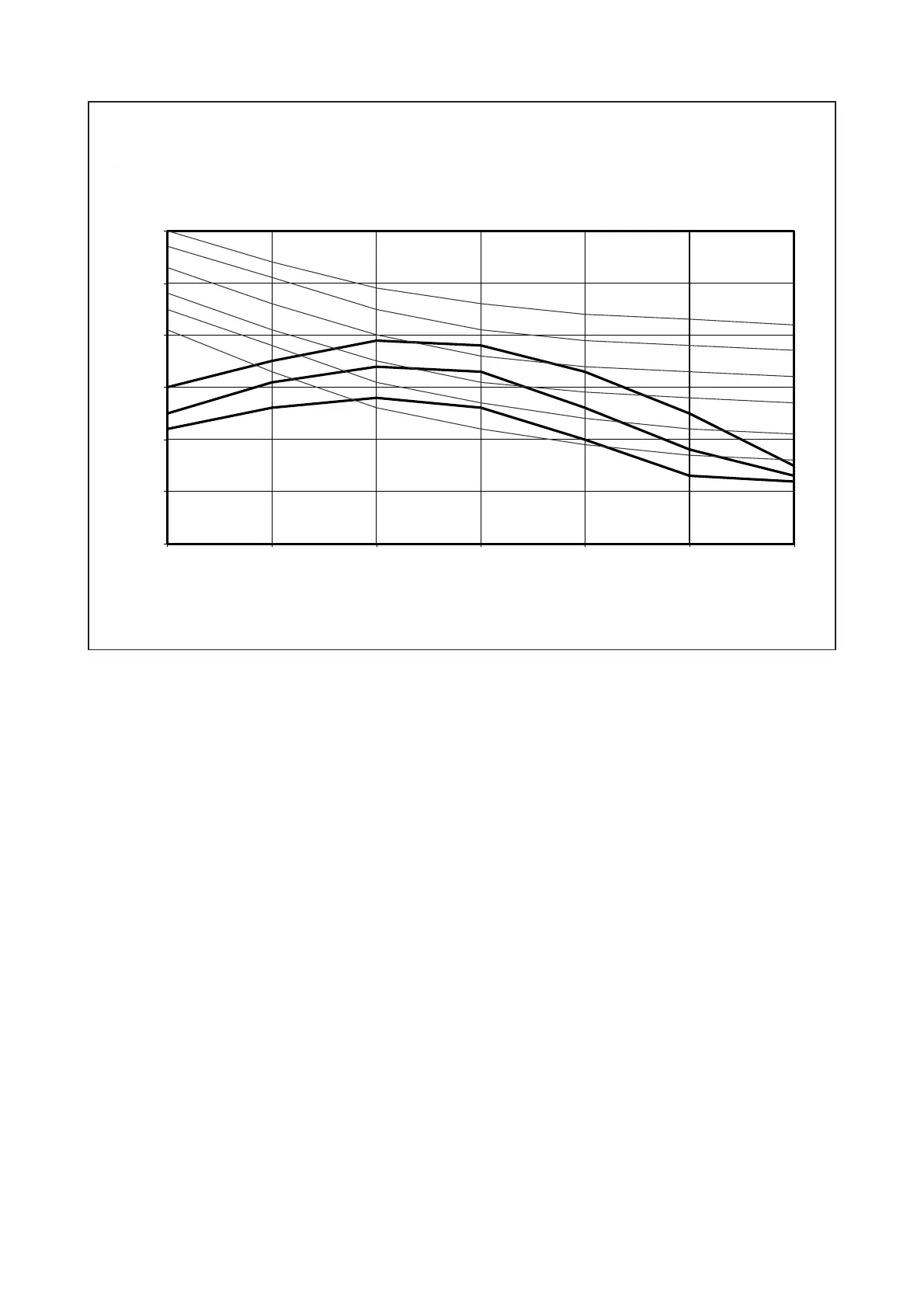
125 250 500 1000 2000 4000 8000
Octave-band frequency (Hz)
Sound pressure level (dB, ref 20µPa)
High Fan
Medium Fan
Low Fan
NC-20
NC-30
NC-45
NC-40
NC-25
NC-35
MWM 015 G/GR , M5WM 015 G/GR
NC CURVES
37
Measured in anechoic room at 1m in front and 0.8m below the vertical centre line of the unit

Related product manuals