EasyManua.ls Logo

McQuay M5WM 015GR - High Efficiency Heat Exchanger; Rotary Compressor; Self Diagnosis

McQuay M5WM 015GR
118 pages
Print Icon
To Next Page IconTo Next Page
To Next Page IconTo Next Page
To Previous Page IconTo Previous Page
To Previous Page IconTo Previous Page
Loading...
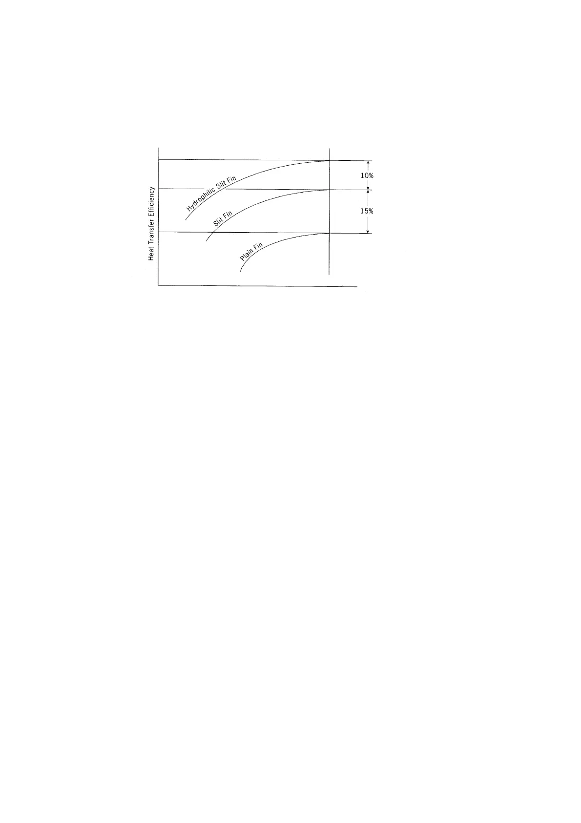
High Efficiency Heat Exchanger
- The compact design of the 3-fold structure heat exchanger provides a large surface are for better and
efficient heat exchange.
- The unique Hydrophilic slit fin has greatly improved the air flow and the contact surfaces with the air thus
to boost the cooling capacity.
Rotary Compressor
- The ever popular rotary compressor is more energy efficient and has a higher output to weight ratio.
Self Diagnosis
- This function is able to detect and to diagnose any faults occurring in the system by blinking of the LED
lights.
- Simplify and ease for troubleshooting.
2

Related product manuals