EasyManua.ls Logo

Mitsubishi SRK05CR-S

Mitsubishi SRK05CR-S
118 pages
To Next Page IconTo Next Page
To Next Page IconTo Next Page
To Previous Page IconTo Previous Page
To Previous Page IconTo Previous Page
Loading...
-
63
-
'15 • SRK-T-171
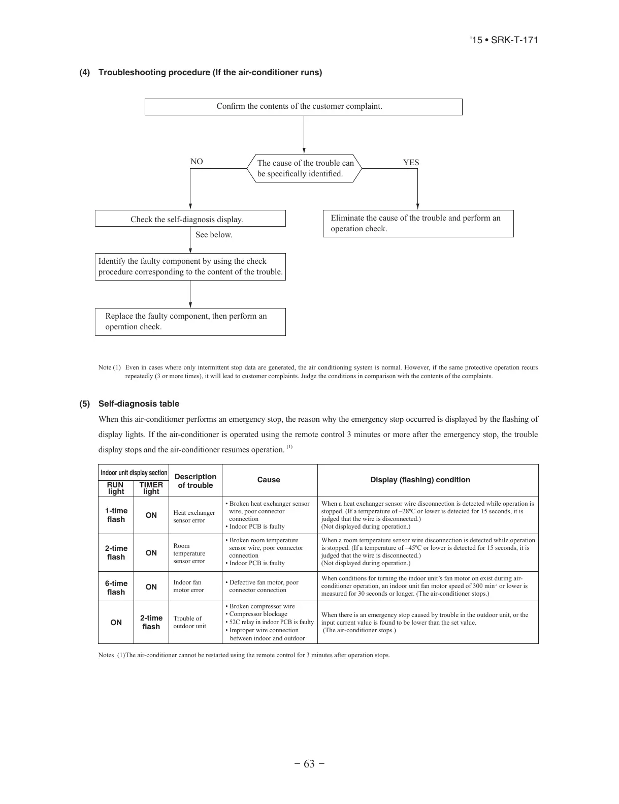
NO
NO
NO
NO
YES
YES
YES
YES
(4) Troubleshooting procedure (If the air-conditioner runs)
NO
NO
NO
NO
YES
YES
YES
YES
Note (1) Even in cases where only intermittent stop data are generated, the air conditioning system is normal. However, if the same protective operation recurs
repeatedly (3 or more times), it will lead to customer complaints. Judge the conditions in comparison with the contents of the complaints.
Conrm the contents of the customer complaint.
Check the self-diagnosis display.
Eliminate the cause of the trouble and perform an
operation check.
Replace the faulty component, then perform an
operation check.
Identify the faulty component by using the check
procedure corresponding to the content of the trouble.
The cause of the trouble can
be specically identied.
See below.
(5) Self-diagnosis table
When this air-conditioner performs an emergency stop, the reason why the emergency stop occurred is displayed by the ashing of
display lights. If the air-conditioner is operated using the remote control 3 minutes or more after the emergency stop, the trouble
display stops and the air-conditioner resumes operation.
(1)
Notes (1) The air-conditioner cannot be restarted using the remote control for 3 minutes after operation stops.
When a heat exchanger sensor wire disconnection is detected while operation is
stopped. (If a temperature of –28ºC or lower is detected for 15 seconds, it is
judged that the wire is disconnected.)
(Not displayed during operation.)
When a room temperature sensor wire disconnection is detected while operation
is stopped. (If a temperature of –45ºC or lower is detected for 15 seconds, it is
judged that the wire is disconnected.)
(Not displayed during operation.)
• Broken heat exchanger sensor
wire, poor connector
connection
• Indoor PCB is faulty
• Broken room temperature
sensor wire, poor connector
connection
• Indoor PCB is faulty
When conditions for turning the indoor units fan motor on exist during air-
conditioner operation, an indoor unit fan motor speed of 300 min
-1
or lower is
measured for 30 seconds or longer. (The air-conditioner stops.)
• Defective fan motor, poor
connector connection
ON
1-time
flash
ON
2-time
flash
ON
6-time
flash
When there is an emergency stop caused by trouble in the outdoor unit, or the
input current value is found to be lower than the set value.
(The air-conditioner stops.)
• Broken compressor wire
• Compressor blockage
52
C
relay in indoor PCB is faulty
• Improper wire connection
between indoor and outdoor
2-time
flash
ON
Indoor unit display section
Cause Display (flashing) condition
RUN
light
TIMER
light
Heat exchanger
sensor error
Room
temperature
sensor error
Indoor fan
motor error
Trouble of
outdoor unit
Description
of trouble
All manuals and user guides at all-guides.com

Related product manuals