EasyManua.ls Logo

Mitsubishi SRK12CR-S6 - Page 67

Mitsubishi SRK12CR-S6
118 pages
To Next Page IconTo Next Page
To Next Page IconTo Next Page
To Previous Page IconTo Previous Page
To Previous Page IconTo Previous Page
Loading...
-
65
-
'15 • SRK-T-171
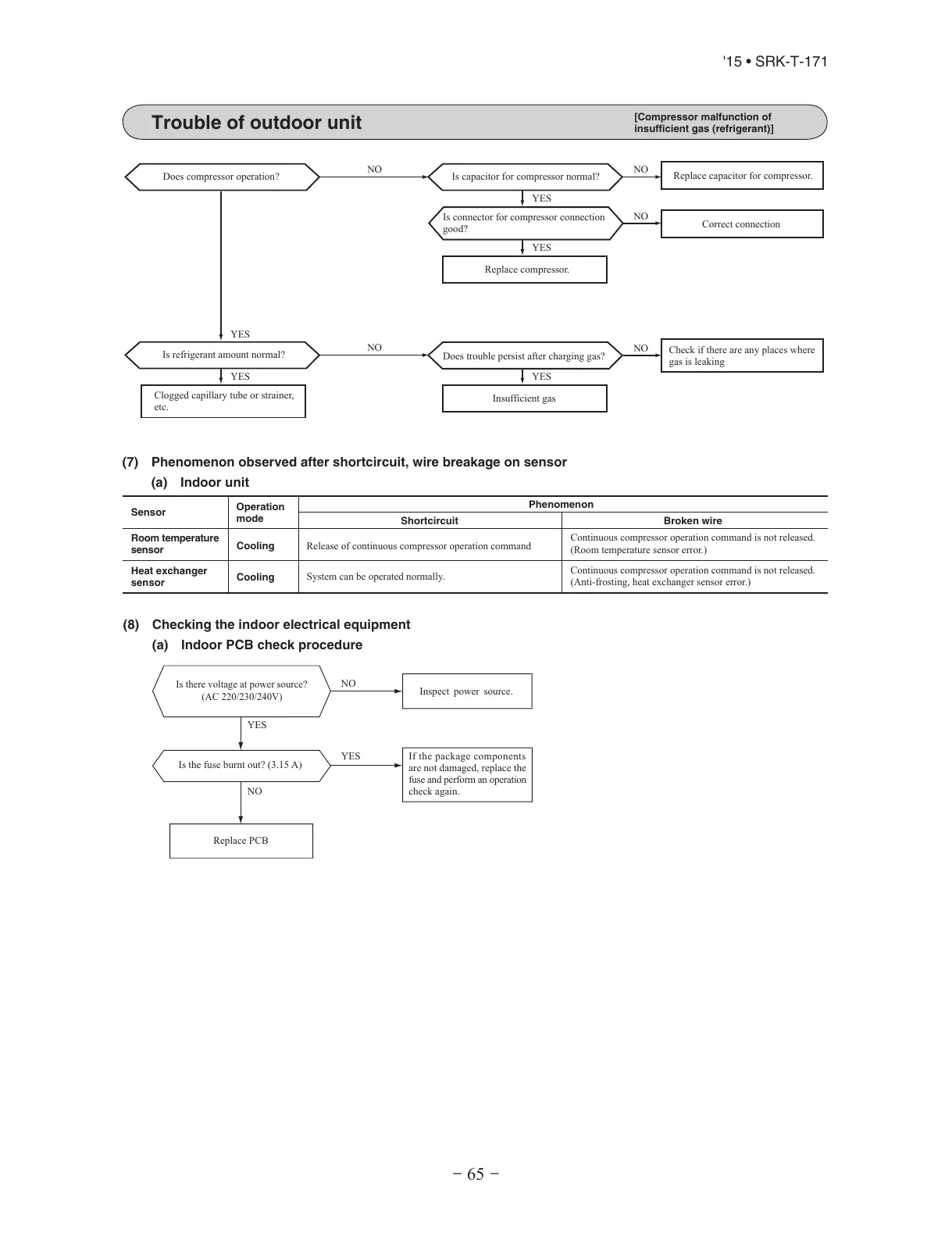
Trouble of outdoor unit
[Compressor malfunction of
insufficient gas (refrigerant)]
Does compressor operation?
Is capacitor for compressor normal?
Replace compressor.
Insufficient gas
Is refrigerant amount normal?
Is connector for compressor connection
good?
Does trouble persist after charging gas?
Clogged capillary tube or strainer,
etc.
Replace capacitor for compressor.
Correct connection
Check if there are any places where
gas is leaking
YES
YES
NO NO
NO
NO
NO
YES
YES
YES
(7) Phenomenon observed after shortcircuit, wire breakage on sensor
(a) Indoor unit
Phenomenon
Sensor
Shortcircuit
Broken wire
Cooling
Release of continuous compressor operation command
Cooling
System can be operated normally.
Operation
mode
Heat exchanger
sensor
Room temperature
sensor
(8) Checking the indoor electrical equipment
(a) Indoor PCB check procedure
Is there voltage at power source?
(AC 220/230/240V)
Replace PCB
Inspect power source.
If the package components
are not damaged, replace the
fuse and perform an operation
check again.
Is the fuse burnt out? (3.15 A)
NO
YES
NO
YES
Continuous compressor operation command is not released.
(Room temperature sensor error.)
Continuous compressor operation command is not released.
(Anti-frosting, heat exchanger sensor error.)
All manuals and user guides at all-guides.com

Related product manuals