EasyManua.ls Logo

MSI PRO B650-S WIFI - PCI_E1~3: Pcie 擴充插槽

MSI PRO B650-S WIFI
435 pages
To Next Page IconTo Next Page
To Next Page IconTo Next Page
To Previous Page IconTo Previous Page
To Previous Page IconTo Previous Page
Loading...
29
󳻱󱯳󳳨󴞙
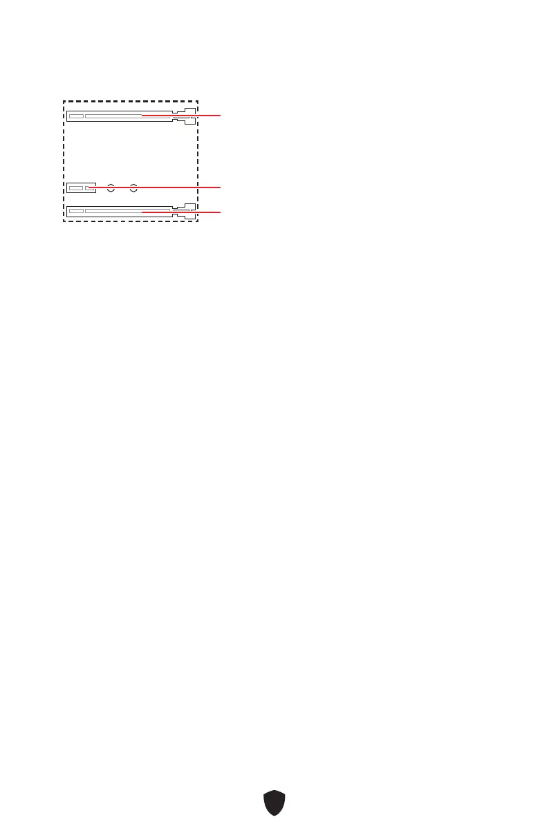
PCI_E1󴽦󴁘
PCI_E2󴽦󴁘󴆎󵙾󶩭
PCI_E3󴽦󴁘󴆎󵙾󶩭
󹆢󸋘
󷖔󲹂󸆈󲣴󲘻󹳳󱽷󾖞󹩢󸋘󱣎󵭡󳋌󱱌󲦚󹳳󱽷󳽩󳸵󴎞󾖞󱟧󳽩󳸵󱱊󹆢󹆤󲅈󹣬󴨞󳳨󴞙󸛚󳕲󾖜
󲦚󴍷󲁏󲹂󸆈󱚋󳔝󳻱󱯳󱽷󾖞󵙜󵡡󳗈󴉷󱢹󳾎󷅯󳒮󸚢󲹂󸆈󱵰PCI_E1󳳨󴞙󾖜
󴁂󲠂󳨘󶎙󹤵󳻱󱯳󱽷󴄼󾖞󸕂󶅛󸓆󳋞󹢄󴡉󱚿󳭏󹤵󹩚󴽦󶮥󾖜󸕂󸒐󸛅󳻱󱯳󱽷󸔂󴃬󳿶󱠁󾖞󱟧󱝏󸍵󳩢
󹩢󸛚󴉣󵷜󸯣󶃡󺄷󸐈󲹥󾖜

Table of Contents

Related product manuals