EasyManua.ls Logo

Narada 12NDT170S - Page 18

Default Icon
26 pages
Print Icon
To Next Page IconTo Next Page
To Next Page IconTo Next Page
To Previous Page IconTo Previous Page
To Previous Page IconTo Previous Page
Loading...
Operation manual for Acme series V4.2
- 18 -
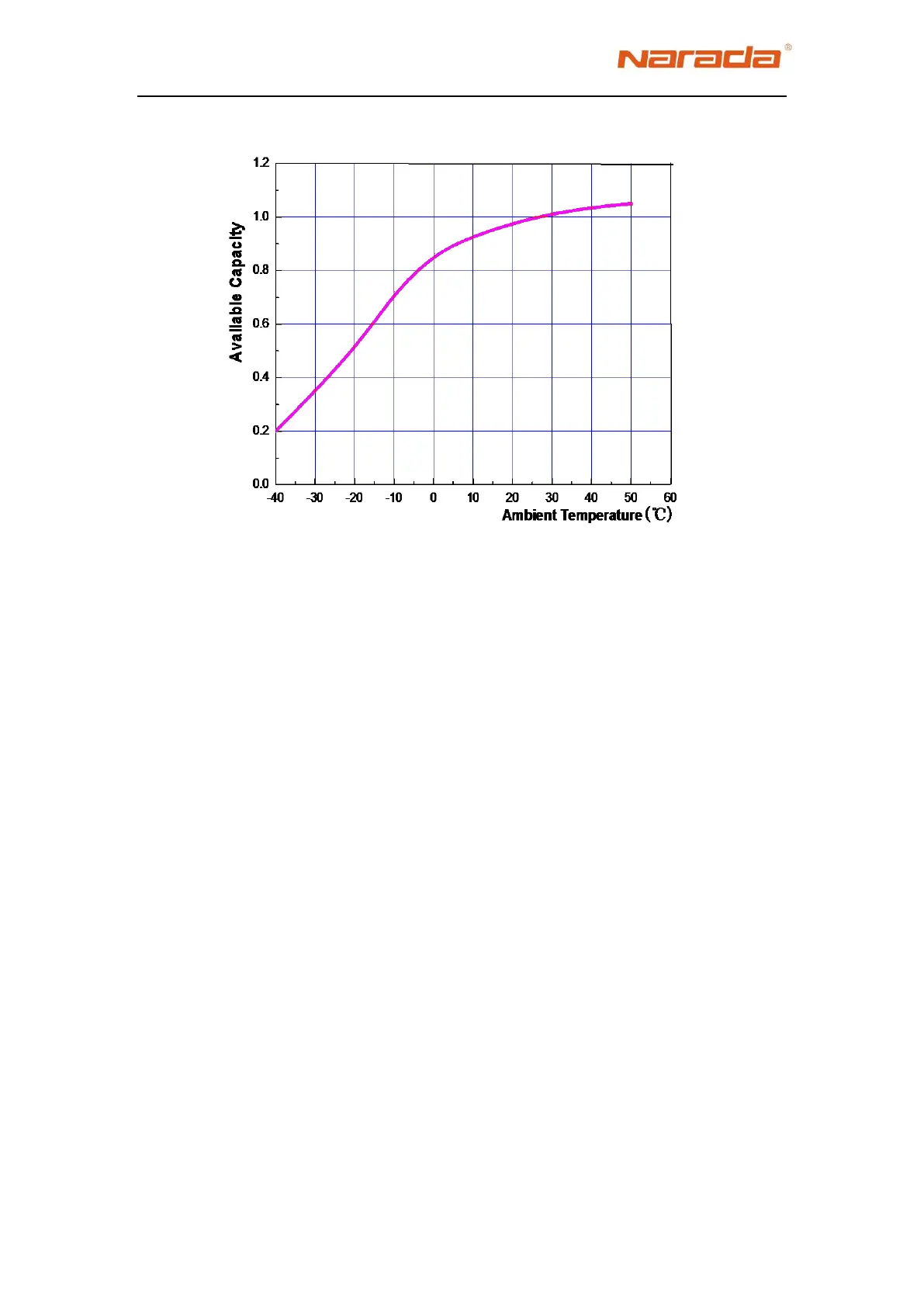
Fig.3-1Ambient Temperature VS Available Capacity
We may see that the capacity will decrease if the temperature is too low. For example,
if the temperature decrease 20°C , the capacity will decrease 16%. Meanwhile, the low
temperature will make the battery always in a less-charged state, then it may cause the
battery fail to discharge and the active material in negative plates sulfation.
The capacity will increase when the temperature increases. The capacity will increase
6% when the temperature increase 10°C . However, the high temperature will
accelerate the corrosion of the grid and cause water loss inside the battery, thus
shorten the life of the battery
So it is important to strictly control the ambient temperature. Please keep the room
ventilate and use air-condition when the temperature is too high.
3.2 Floating Operation
To choose given floating voltage is to make the battery operate under the best
condition. If the floating voltage is too high, the battery floating current will get
larger and expedite the grid erode speed, and cut down the service life of battery; if
the floating voltage too low, battery can not maintain full charged condition, can
cause sulphate, and reduce the capacity, and will also cut down the service life of
battery. Under 25°C the floating voltage of Narada Acme range battery is

Related product manuals