EasyManua.ls Logo

New Focus 100X - Page 17

Default Icon
19 pages
Print Icon
To Next Page IconTo Next Page
To Next Page IconTo Next Page
To Previous Page IconTo Previous Page
To Previous Page IconTo Previous Page
Loading...
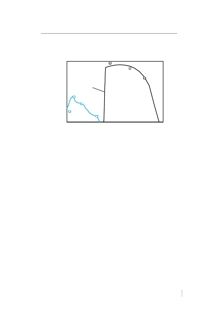
DETECTOR CHARACTERISTICS
17
Fig 3. Responsivity vs. wavelength for a) Models 100X and b) Models
101X and 102X.
0.0
0.2
0.4
Responsivity
increases
from 0–0.42 A/W
over the range of
950–970 nm.
Wavelength, nm
400 600 800 1000 1200 1400 1600 1800
Responsivity, A/W
a
b