EasyManua.ls Logo

Panasonic CS-E21NKR - Page 94

Panasonic CS-E21NKR
205 pages
Print Icon
To Next Page IconTo Next Page
To Next Page IconTo Next Page
To Previous Page IconTo Previous Page
To Previous Page IconTo Previous Page
Loading...
94
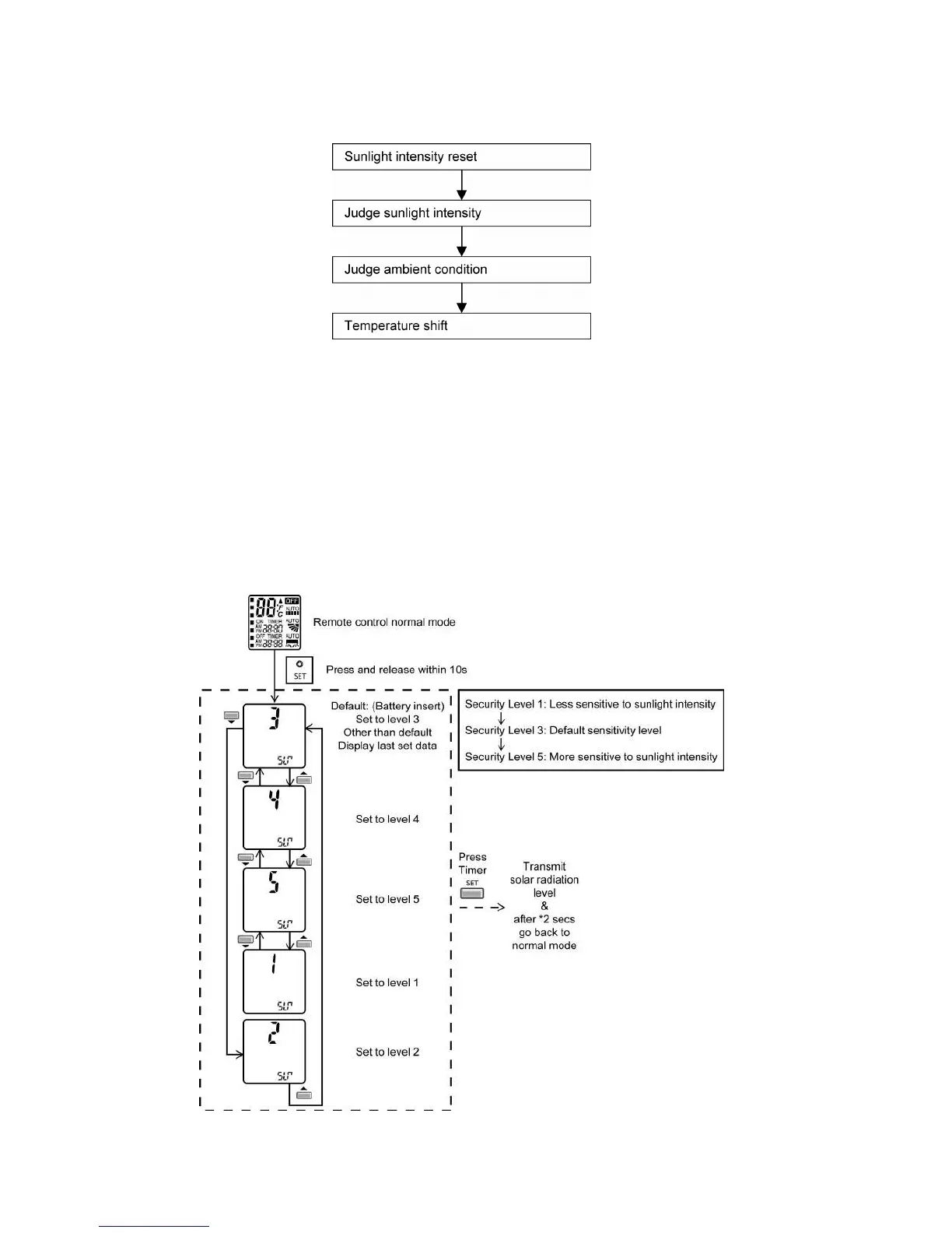
13.13.3 Sunlight Sensor
During ECONAVI operation, the sunlight sensor detects sunlight intensity coming through windows and
differentiates between sunny and cloudy or night to further optimize energy saving by adjusting the temperature.
Sunlight judgment is as following
13.13.3.1 Sunlight Intensity Reset
The sunlight intensity will to reset to zero (no sunlight condition) when
o Each time ECONAVI is activated.
o Setting temperature is changed.
o Operation mode is changed.
13.13.3.2 Judge Sunlight Intensity
Based on sunlight sensor output voltage, the sunlight intensity value will be computed and logged to sunlight
intensity database.
The sunlight sensor sensitivity could be adjusted:

Table of Contents

Other manuals for Panasonic CS-E21NKR

Related product manuals