EasyManua.ls Logo

Panasonic CS-TZ35TKEW

Panasonic CS-TZ35TKEW
153 pages
To Next Page IconTo Next Page
To Next Page IconTo Next Page
To Previous Page IconTo Previous Page
To Previous Page IconTo Previous Page
Loading...
100
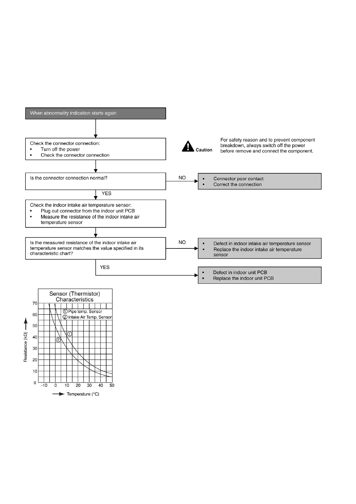
18.4.3 H14 (Indoor Intake Air Temperature Sensor Abnormality)
Malfunction Decision Conditions
During startup and operation of cooling and heating, the temperatures detected by the indoor intake air
temperature sensor are used to determine sensor errors.
Malfunction Caused
Faulty connector connection.
Faulty sensor.
Faulty PCB.
Troubleshooting
AMP Air Conditioning
www.ampair.co.uk | sales@ampair.co.uk

Table of Contents

Other manuals for Panasonic CS-TZ35TKEW

Related product manuals