EasyManua.ls Logo

Panasonic CU-A120KE - Page 24

Panasonic CU-A120KE
63 pages
Print Icon
To Next Page IconTo Next Page
To Next Page IconTo Next Page
To Previous Page IconTo Previous Page
To Previous Page IconTo Previous Page
Loading...
CS-A70KE
Operating
Details
|
Deicing
Control
|
Deice
starts
to
prevent
frosting
at
outdoor
heat
exchanger.
Normal
Deicing
Deice
operation
detection
commences
after
30
minutes
of
Heating
operation
starts
or
60
minutes
after
previous
deice
operation.
If
the
TRS
(Thermal
Reed
Switch)
senses
the
outdoor
piping
temperature
drops
to
—3°C
(TRS
CLOSE)
or
less
for
50
sec.
continuosly
during
compressor
is
in
operation,
deice
will
start.
(There
is
no
detection
during
Outdoor
Fan
stops.)
Overload
Deicing
During
heating
operation,
if
the
outdoor
Fan
OFF
duration
(due
to
overload
control)
is
accumulated
up
to
60
minutes
and
after
compressor
starts
for
1
minutes,
deicing
starts.
Deicing
ends
when
(a)
12
minutes
after
deicing
operation
starts;
(b)
TRS
senses
the
outdoor
piping
temperature
rises
to
4°C
(TRS
OPEN).
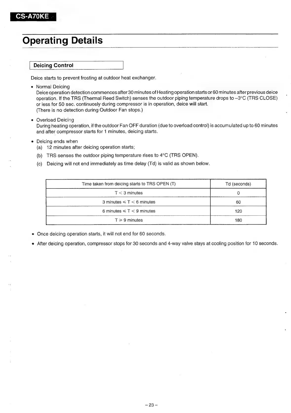
(c)
Deicing
will
not
end
immediately
as
time
delay
(Td)
is
valid
as
shown
below.
a
snes
T<ernae—SSC~dC
Once
deicing
operation
starts,
it
will
not
end
for
60
seconds.
e
After
deicing
operation,
compressor
stops
for
30
seconds
and
4-way
valve
stays
at
cooling
position
for
10
seconds.
—23-

Related product manuals