EasyManua.ls Logo

Panasonic CU-A12DKD - 34 Technical Data; Thermostat Characteristics

Panasonic CU-A12DKD
88 pages
Print Icon
To Next Page IconTo Next Page
To Next Page IconTo Next Page
To Previous Page IconTo Previous Page
To Previous Page IconTo Previous Page
Loading...
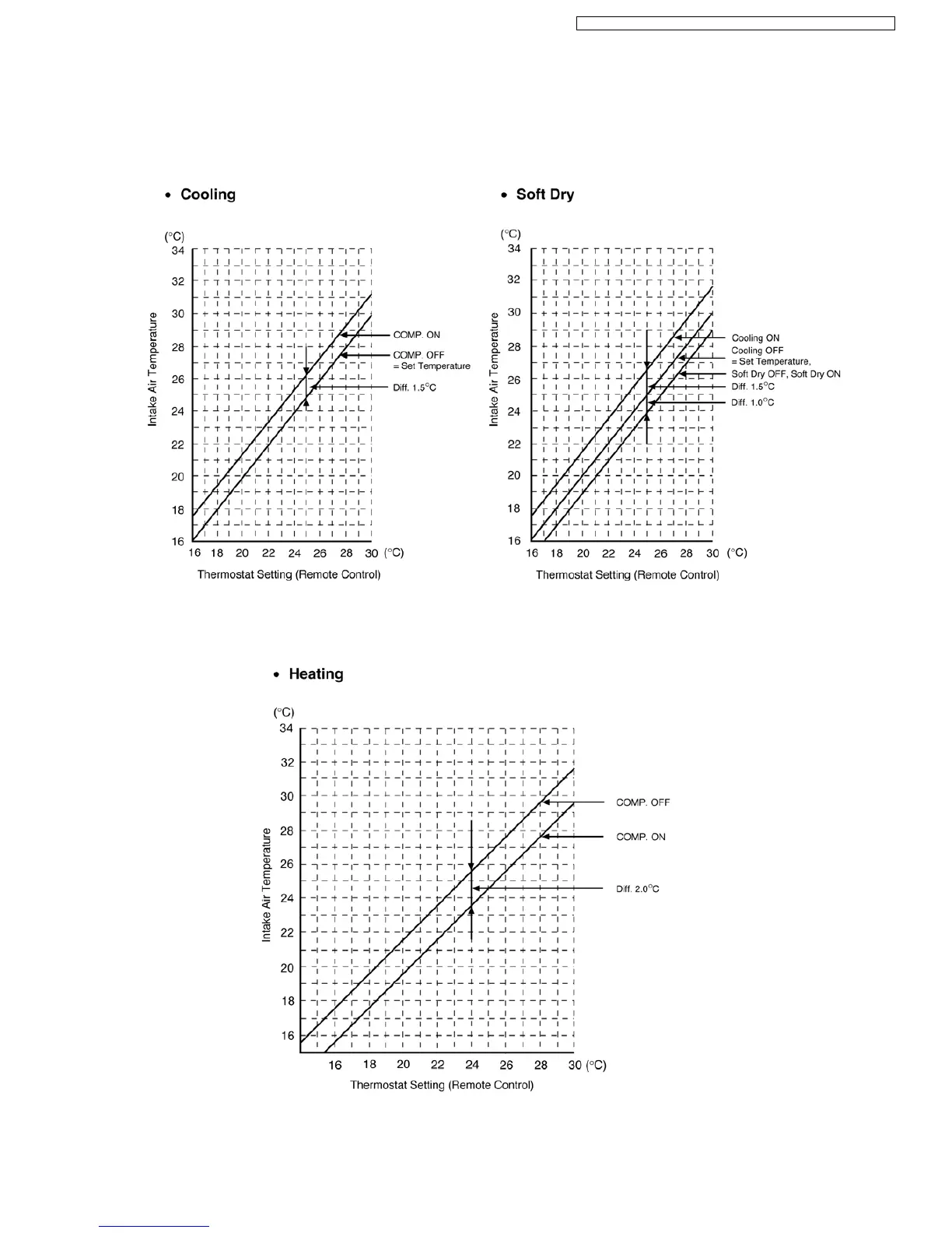
14 Technical Data
14.1. Thermostat Characteristics
14.1.1. CS-A7DKD / CS-A9DKD / CS-A12DKD
69
CS-A7DKD CU-A7DKD / CS-A9DKD CU-A9DKD / CS-A12DKD CU-A12DKD /

Table of Contents

Related product manuals