EasyManua.ls Logo

Panasonic KX-F580 - The Broken Parts Repairing Details

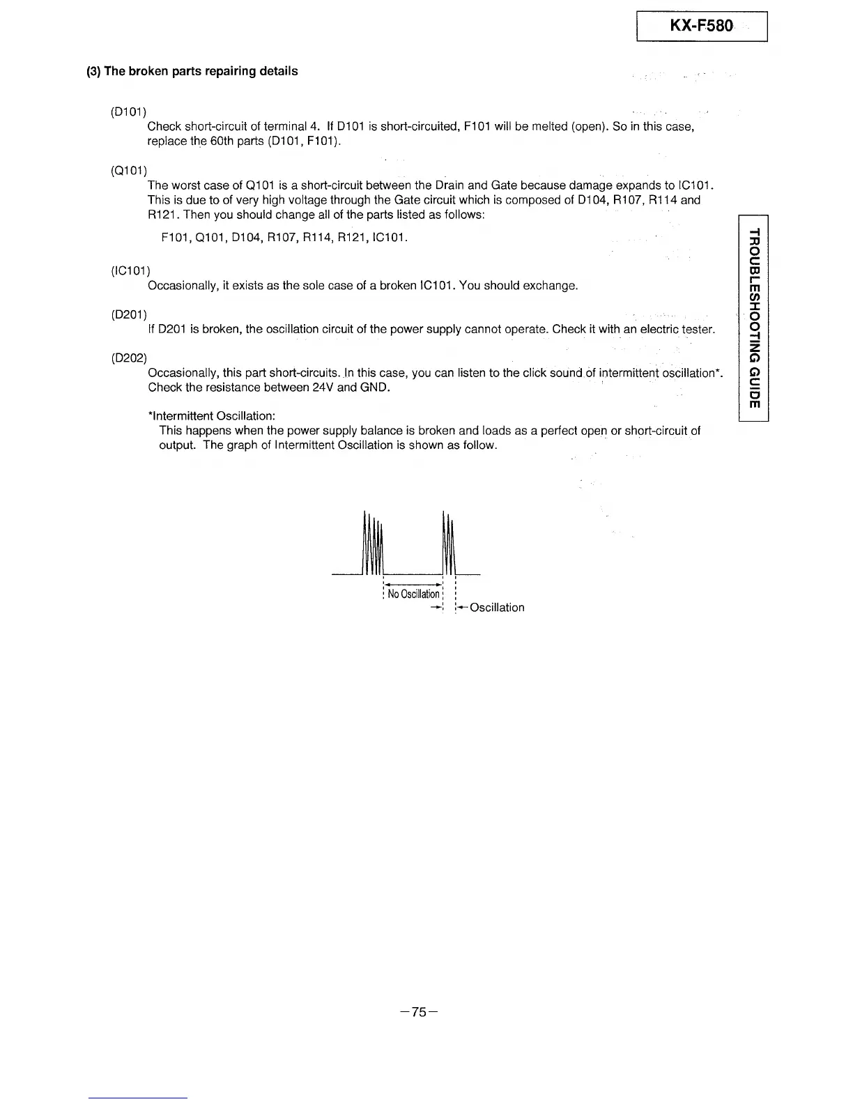
Panasonic KX-F580
191 pages
To Next Page IconTo Next Page
To Next Page IconTo Next Page
To Previous Page IconTo Previous Page
To Previous Page IconTo Previous Page
Loading...

Table of Contents

Other manuals for Panasonic KX-F580

Related product manuals