EasyManua.ls Logo

Panasonic KX-MB772CX

Panasonic KX-MB772CX
107 pages
To Next Page IconTo Next Page
To Next Page IconTo Next Page
To Previous Page IconTo Previous Page
To Previous Page IconTo Previous Page
Loading...
KX-MB262CX/KX-MB772CX
12.
3.1
6.
SEN
SOR SEC
TIO
N
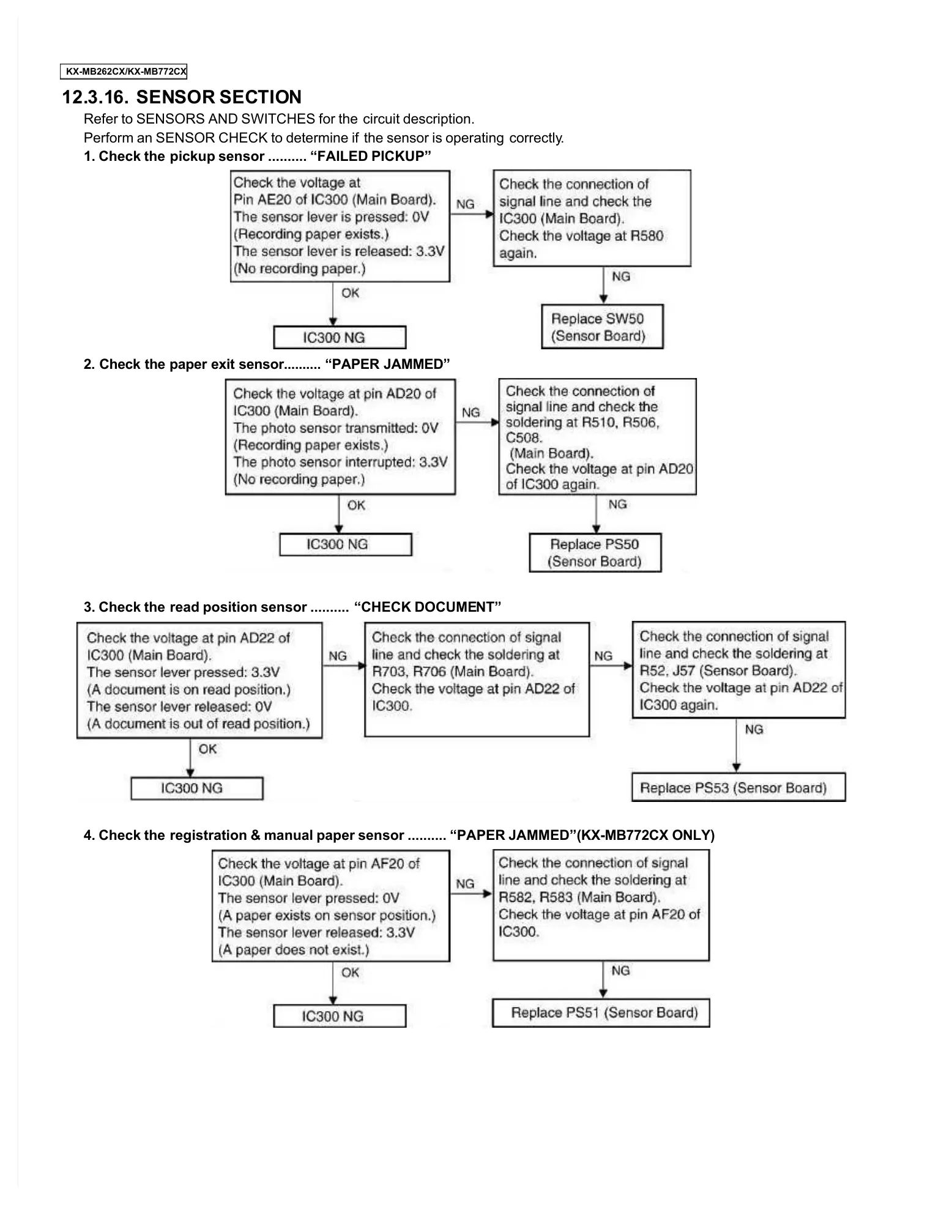
Refer to SENSORS AND SWITCHES for the
circuit description.
Perform an SENSOR CHECK to determine if
the sensor is operating
correctly
.
1. Check the
pickup sensor .......... FAILED PICKUP
2. Check the paper exit sensor.......... PAPER JAMMED
3. Check the
read position sensor ..........
CHECK DOCUME
NT
4. Check the
registration & manual paper sensor .......... PAPER JAMMED
(KX-MB772CX ONLY)

Related product manuals