EasyManua.ls Logo

Panasonic LUMIX DC-G110

Panasonic LUMIX DC-G110
512 pages
To Next Page IconTo Next Page
To Next Page IconTo Next Page
To Previous Page IconTo Previous Page
To Previous Page IconTo Previous Page
Loading...
238
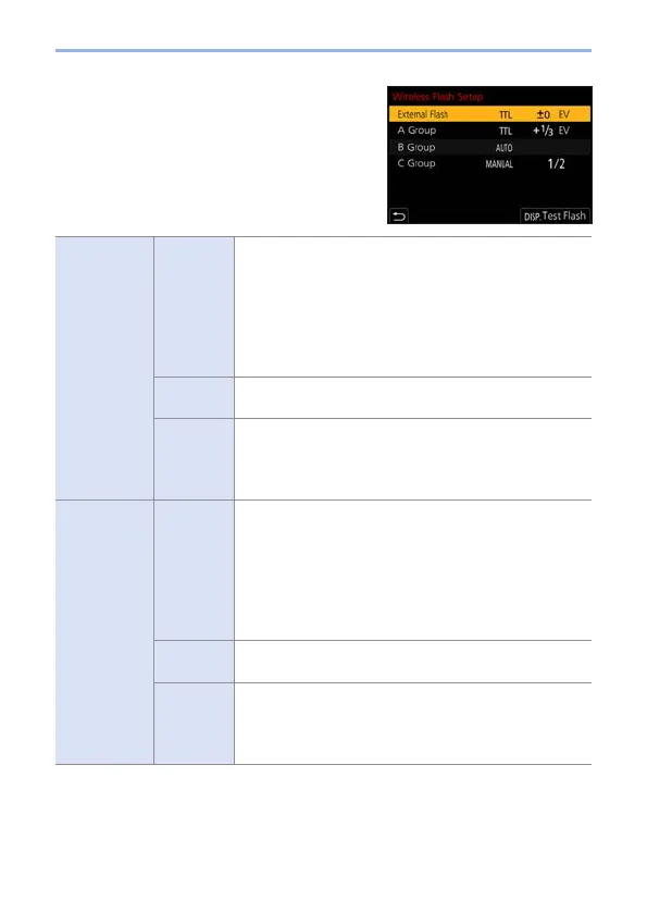
9. Flash
Setting Items ([Wireless
Setup])
To fire a test flash, press [DISP.].
[External
Flash]
[Firing
Mode]
[TTL]: The camera automatically sets the flash output.
[AUTO]
*
1
: Sets the flash output on the external flash
side.
[MANUAL]: Sets the flash output of the external flash
manually.
[OFF]: The external flash outputs only communication
light.
[Flash
Adjust.]
Adjusts the flash output of the external flash manually
when [Firing Mode] is set to [TTL].
[Manual
Flash
Adjust.]
Sets the flash output of the external flash when [Firing
Mode] is set to [MANUAL].
It can be set within the range of [1/1] (full flash
output) to [1/128] in 1/3 steps.
[A Group]/
[B Group]/
[C Group]
[Firing
Mode]
[TTL]: The camera automatically sets the flash output.
[AUTO]: Sets the flash output on the wireless flash
side.
[MANUAL]: Sets the flash output of the wireless flash
manually.
[OFF]: The wireless flashes of the specified group will
not fire.
[Flash
Adjust.]
Adjusts the flash output of the wireless flash manually
when [Firing Mode] is set to [TTL].
[Manual
Flash
Adjust.]
Sets the flash output of the wireless flash when [Firing
Mode] is set to [MANUAL].
It can be set within the range of [1/1] (full flash
output) to [1/128] in 1/3 steps.
*
1 This cannot be set when using the Flash (DMW-FL200L: optional).

Table of Contents

Related product manuals