EasyManua.ls Logo

Panasonic NA-F75G6

Panasonic NA-F75G6
32 pages
To Next Page IconTo Next Page
To Next Page IconTo Next Page
To Previous Page IconTo Previous Page
To Previous Page IconTo Previous Page
Loading...
NA-F62G5 / F65G5 / F70G5 / F75G5 / F75S6 / F70S6
5
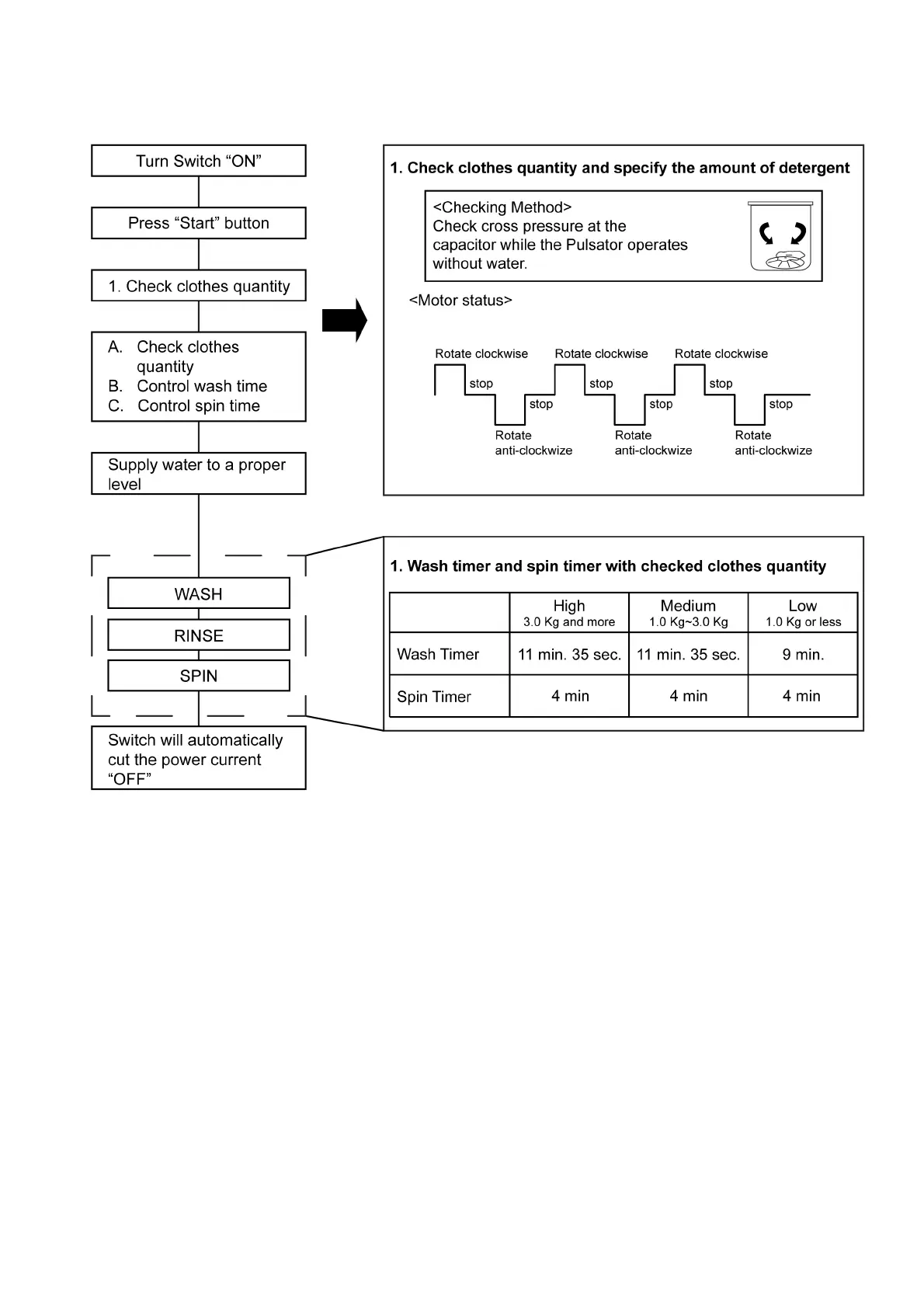
4.2. Function Control
Clothes quantity checking, wash level indication and detergent consumption indication.

Related product manuals