EasyManua.ls Logo

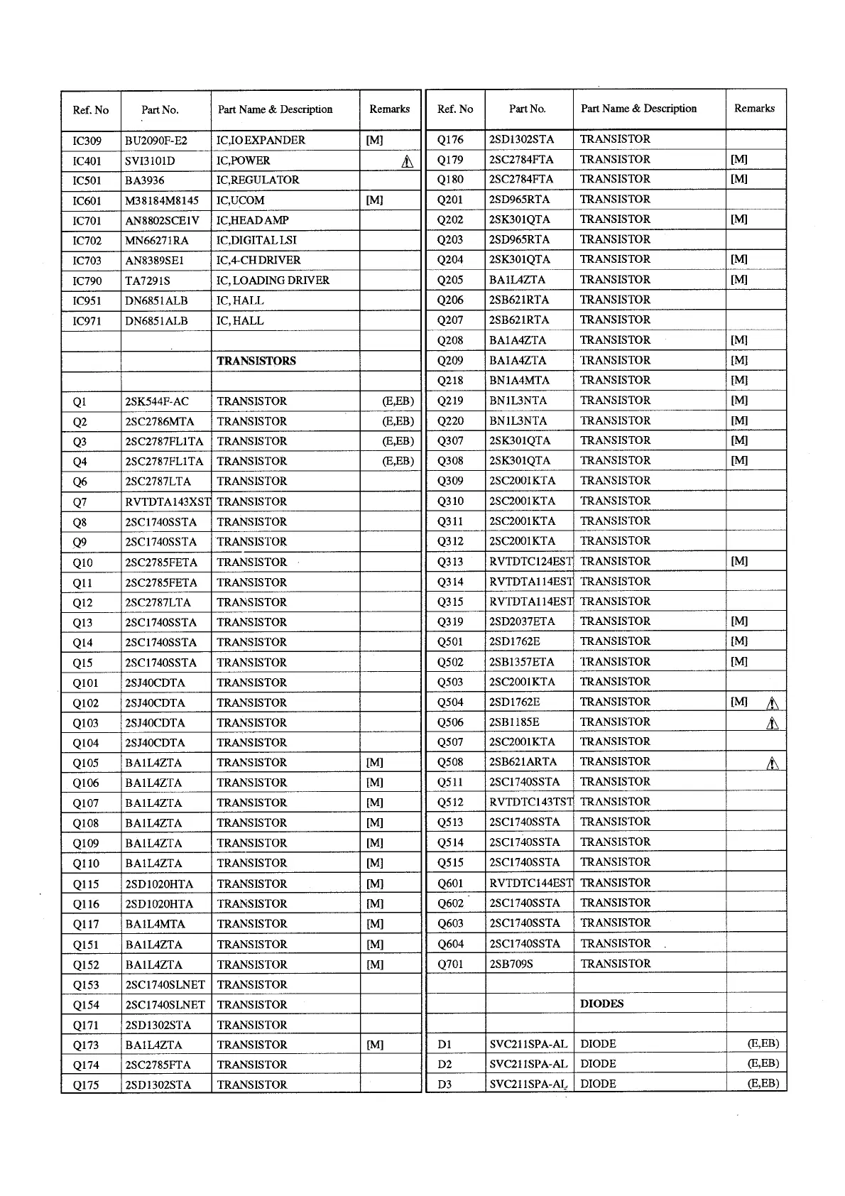
Panasonic SC-CH32 - Replacement Parts List: Semiconductors; Semiconductor Replacement Parts

Panasonic SC-CH32
59 pages
Print Icon
To Next Page IconTo Next Page
To Next Page IconTo Next Page
To Previous Page IconTo Previous Page
To Previous Page IconTo Previous Page
Loading...

Related product manuals