EasyManua.ls Logo

Panasonic Technics ST-CH7L - Page 21

Panasonic Technics ST-CH7L
21 pages
Print Icon
To Previous Page IconTo Previous Page
To Previous Page IconTo Previous Page
Loading...
ST-CH7L ST-CH7L
+
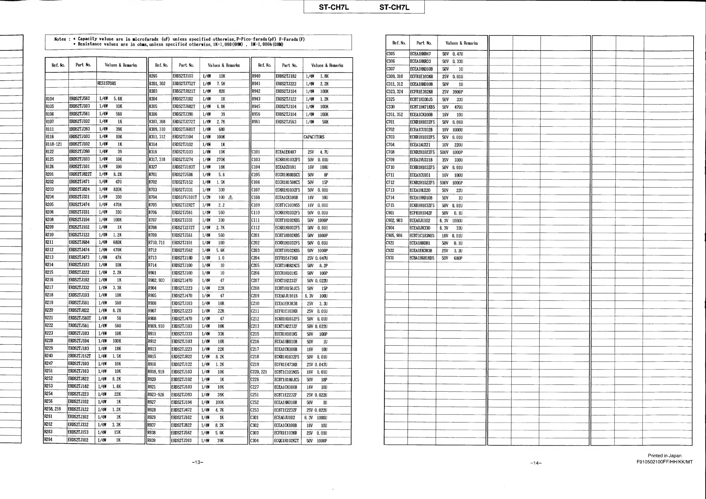
Resistance
values
are
in
ohms,
unless
specified
otherwise,
1K=1,000(OHM)
,
1M=1,
000k(OHM)
Values
&
Remarks
Part.
No.
Values
&
Remarks
Ref.
No.
Part
No.
Values
&
Remarks
R265
1.8K
ERDS2TJ103
ERDS2TJ182
1/4
|
Notes
:
*
Capacity
valuse
are
in
microfarads
(uF)
unless
specified
otherwise,
P=Pico-farads
(pF)
F=Farads
(F)
|
ECEAIHKR47
SOV
0.
47U
ECEALHKR33
SOY
0.
33U
ECEAIHK010B
SOV
1U
ECFRIE103KR
25V
0.
01U
R301,
302
=
|ERDS2TJ752T
|
1/4
=
7.
5K
ERDS2TJ222
1/AW
2.2K
ECEALHKO10B
30V
1U
R303
ERDS2TJ821T
|
1/4"
820
ERDS2TJ104
1/4¥
=
100K
25V
3900P
R304
[eroszr
102
1/40
1K
ERDS2TJ122
1/4¥#
1.2K
SOV
33U
R305
ERDS2TJ682T
|
1/4W
6.
8K
ERDS2TJ104
1/4¥
100K
ECBT1H471KB5
|
50V
470U
ERDS2TJ390
ERDS2TJ104
1/48
=
100K
ECEA1CK100B
16V.
10
ERDS2TJ272T
ERDS2TJ563
1/4W#
56K
|ECKRIHIO3ZF
5}
50V
0.
01U
ECEAICU102B
|
16V
1000U
ECKRIHIO3ZF5
|
SOV
0.O1U
ECEA1AU221
|
10V
2200
ECKR2H1022F5
|
500V
1000P
ECEAIVU331B
|
35V
3300
JECKRIHIO32F5
|
50V
0.
01U
pecs
16V
1000
ECKR2H1022F5
|
500V
1000P
ECEAIHU2Z20
|
SOV
22U
ECEAIHKO10B
|
SOV.
1U
TECKRIH103ZF5
|
50V
0.
01U
ERDS2TJ681T
ERDS2TJ104
ERDS2TJ102
ERDS2TJ103
ERDS2TJ274
ERDS2TJ183T
ERDS2TJ5R6
ERDS2TJ152
ERDS2TJ331
ERDSLFVJ101T
CAPACITORS
ECEALEKAR7
ECKRIHIO3ZF5
ECEAICUIO1
ECCRIHOSODCS
ECCRIHISOKC5
ECKRIHIO3ZF5
ECEALCK100B
6109
|
ECBT1CLO3NSS
25V
s0V
16V
SOV
SOV
4.7
0.
01U
100U
8P
100
16V
ERDS2TJ474
R705
———eRpszTs2R2T
|
1/4W
2.2
ERDS2TJ331
ERDS2T561
|
1/4¥
560
ECKRIHLO3ZP5
SOV
0.10
reo8.——s[eRDS2ty104
|
1/4¥
100K
R707
ERDS2TJ331
|
1/48
330
ECBT1HLO2KBS
|
50V
6.3V
1000U
cii2_—_—_—“ECKRIHIO3ZF5
|
SOV
0.
O1U
203
ECBTIHLO2KB5
|
SOV
1000P
C205
ECBTINBR2KCS
|
SOV
8.2P
ECCRIMLOLKS
|
SOV
100P
ECKTIN223zF
|
SOV
0.
022U
ECBTIHISOJC5
|
SOV
15P
[eczaosui01B
|
6.3v
1000
ERDS2TJ102
|
1/4W
1K
ERDS2TJ122
|
1/4W
1.2K
,
R712
ERDS2TJ562
|
1/4¥
5.
6K
vin
1.0
R714.
feRDS2Tv100
|
1/4¥
10
R901
ERDS2TJ100
|
1/4¥
10
R902,
903
|ERDS2TJ470
|
1/4”
47
R904
ERDS2TU223
|
1/4W
22K
ERDS21J470
|
1/4W
47
ECBT1C103NS5
|
16V
0.
01U
ECEA1HKOR1
s0V.
0.10
(922
ECEAIEK3R3B
25V
3.
3U
931
ECBAIH681KB5
|
SOV
680P
Users
eROSZT9
R214
|ERDS2TJ103
|
1/4W
10K
pais
femsznsoze
[aw
2
reis
=
feRDS2Tu102_
|
1/4
1K
ERDS2TJ332_
|
1/4W
3.9K
ERDS2TJ103
|
1/4¥
10K
R219
ERDS2TJ561
|
1/4¥
560
R906
JERDS2TJ103
1/48
10K
ECEALEK3R3B
25V
3.
U
R220
ERDS2TJ822
1
1/4AW
8.
2K
R907
ERDS2TJ223
1/4¥
22K
|ECFRIELO3KR
25V_
0.
O1U
R221
ERDS2TJS60T
|
1/4¥
36
R908
ERDS2TJ470
1/48
47
ECKRIH103ZF5
|
SOV
0.
01U
ERDS2TJ561
1/4560
R909,
910
|
ERDS2TJ103
1/48
=
-10K
ECKT1H223ZF
SOV
0.
022U
ERDS2TJ103
1/4W
10K
R911
ERDS2TJ333
1/48
(33K
ECCR1HIO1KS
s0¥.—
100P
ERDS2TJ104
1/4¥
=
100K
R912
ERDS2TJ103
|
1/4¥
=:
10K
TECEA1HKO10B
SOV
1U
ERDS2TJ183
1/4W
«18K
R913
ERDS2TJ223
[ize
22K
C217
ECEALCK100B
|
16V—:10U
ERDS2TJ152T
|
1/4W
=
1.5K
R915
TERDS21822
1/4¥
8.
2K
C218
ECKRIH103ZF5
|
SOV
0.
01U
mses
1/4W¥
10K
R916
[ERDS2TJ122
1/4W#
1.
2K
ECFRIE473KR
25V
0.047U
ERDS2TJ103
1/4¥#
10K
R918,
919
|ERDS2TJ103
1/48
10K
ECBTIC103NS5S
|
16V
0.
01U
Erszr.
J822
1/4¥#
8.2K
R920
ERDS2TJ102
1/48
1K
ECBTIH180JC5
|
SOV
18P
|
1/AW
1.8K
R921
ERDS2TJ103
1/4W¥
10K
ECEAICK100B
16¥V
10
1/48
22K
R923-926
|
ERDS2TJ393
1/4¥
39K
ECBT1E223ZF
25V
0.
022U
1/48
1K
ERDS2TJ104
[
1/44
=
100K
ECEA1HKO10B
SOV
1U
1/4¥—
1.2K
[enosonsare
1/4h#
4.
1K
ECBT1E223ZF
25V
0.0220
1/4¥
IK
ERDS2TJ102
1/40
1K
ECEAQJU102
6.3V¥
10000
ERDS2TJ332
ERDS2TJ153
ERDS2TJ102
¢302
ECEAICK100B
6303
{ECFRIELO3KR
304
ECQGIHIO2KZT
16V
10
25V
0.
O1U
S0V
1000P
1/A¥
3.3K
1/4W
SK
1/4W
1K
ERDS2TJ822
1/4#
8.
2K
ERDS2TJ562
1/4¥#
5.
6K
ERDS2TJ393
1/4¥
39K
Printed
in
Japan
-13-
-14-+
F910502100FF/HH/KK/MT

Related product manuals