EasyManua.ls Logo

Philips BDP3100/51 - Page 14

Philips BDP3100/51
40 pages
Print Icon
To Next Page IconTo Next Page
To Next Page IconTo Next Page
To Previous Page IconTo Previous Page
To Previous Page IconTo Previous Page
Loading...
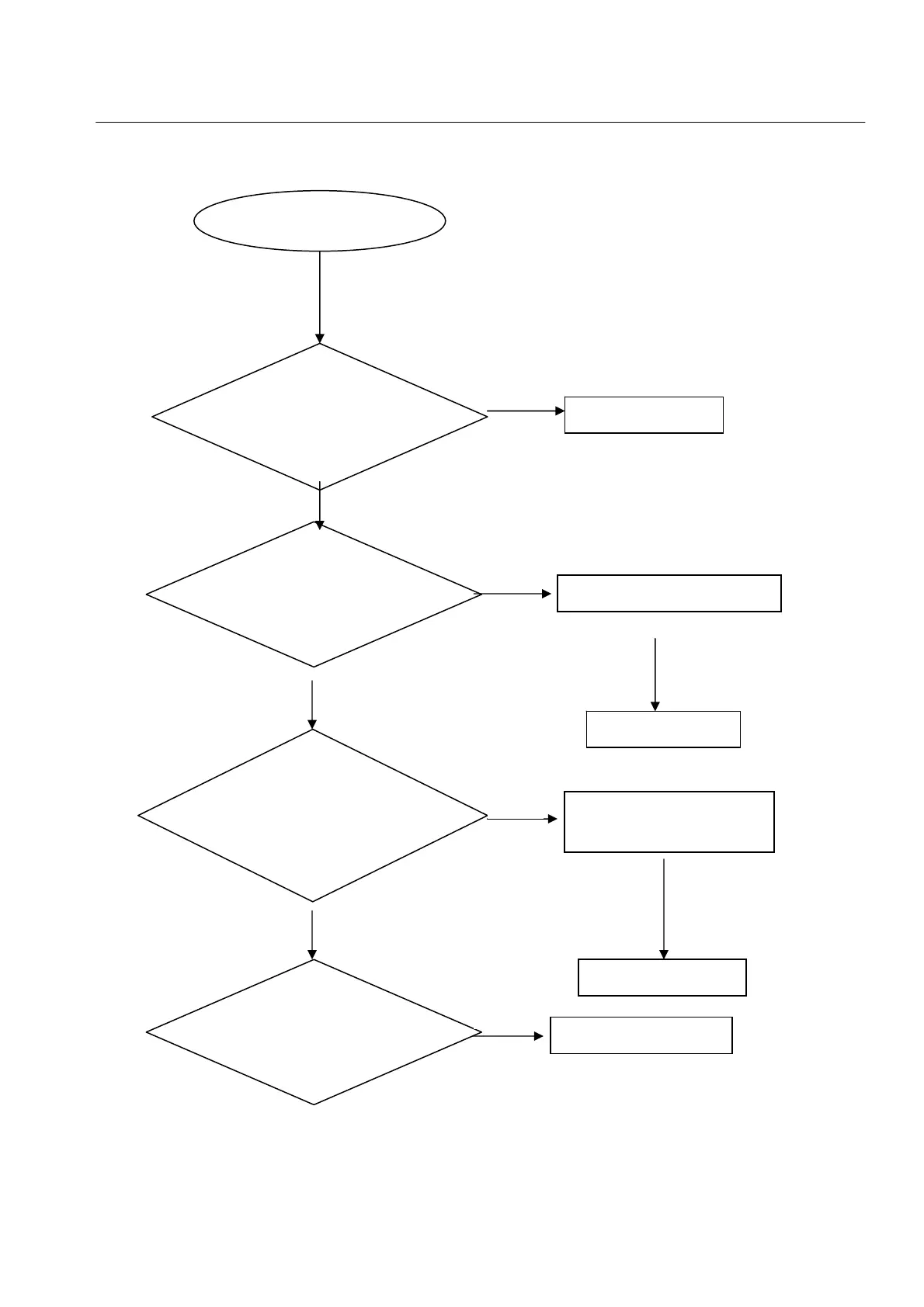
No audio output
Check the U915 power supply
Check the U6 power supply
(U6’4=-12V and U6’8=12V)
Check whether the audio
signal is right from the
U6’1,7
Check If the C511,C501
is on
Add the two set
Yes
No
Go
Check whether the audio signal
is right from the U915’9,10,11,12
No audio output
Yes
Trouble shooting chart
4-2
Replace the U915
Replace the U6
Yes
NO
NO
Check if XP2 conect
ok or not from the AV
b
oard to mainboard
No
Fix XP2 in AV board