EasyManua.ls Logo

Philips BDP3100/51 - Page 15

Philips BDP3100/51
40 pages
Print Icon
To Next Page IconTo Next Page
To Next Page IconTo Next Page
To Previous Page IconTo Previous Page
To Previous Page IconTo Previous Page
Loading...
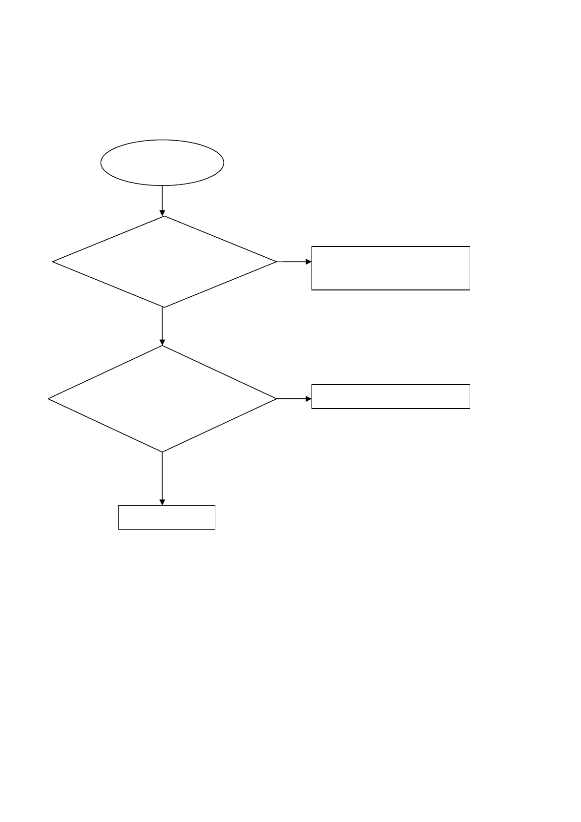
Remote control does not work
Go
Yes
No
yes
Remote control
does not work
NO
Replace the battery for remote
controller
Check whether the remote
controller’s battery is
exhausted or not.
Check the IR1 power
supply is OK,IR1’3 is about
5V
Check the VCC net no front board
Replace IR1
Yes
Trouble shooting chart
4-3