EasyManua.ls Logo

Philips BDP3100/51 - Page 16

Philips BDP3100/51
40 pages
Print Icon
To Next Page IconTo Next Page
To Next Page IconTo Next Page
To Previous Page IconTo Previous Page
To Previous Page IconTo Previous Page
Loading...
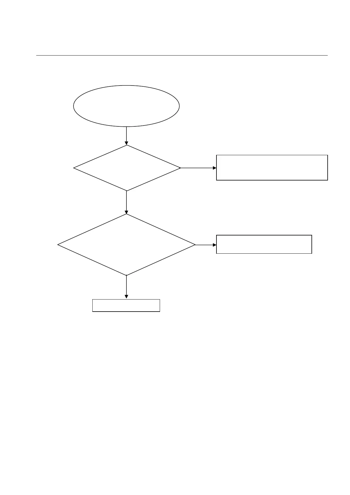
Can’t read disc or can’t open the disk door
Yes
Check the connection o 4pin cable from the
main board
Can’t read disc or can’t
open the disk door
Check 45pin and 8pin
cable from main board
connection to the loader is
normal
Replace the loader
NO
GO
Check whether the
DVD loader running is
normal
Fix the connection the 45pin cable
NO
Yes
Trouble shooting chart
4-4