EasyManua.ls Logo

Philips BDP3100/51 - Page 17

Philips BDP3100/51
40 pages
Print Icon
To Next Page IconTo Next Page
To Next Page IconTo Next Page
To Previous Page IconTo Previous Page
To Previous Page IconTo Previous Page
Loading...
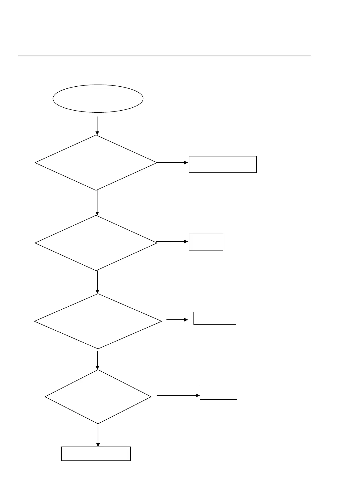
No video display
Check if L452 is on
Go
No
No
No Video display
Yes
Fix R615
Check R615 is on in
main board
Add L452
Replace the main board
Yes
Check If R616 is on
No
Add R616
Trouble shooting chart
4-5
Check if XP2 fix ok or
not from AV board to
mainboard
No
Fix XP2 in AV board
Yes