EasyManua.ls Logo

Philips BDP3100/51 - Page 18

Philips BDP3100/51
40 pages
Print Icon
To Next Page IconTo Next Page
To Next Page IconTo Next Page
To Previous Page IconTo Previous Page
To Previous Page IconTo Previous Page
Loading...
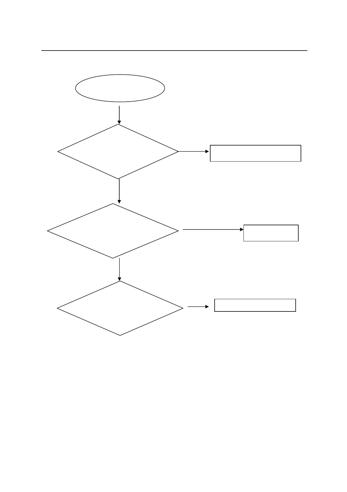
Can not connect to network
Check if the P400 is ok
Or not
Go
No
No
Can not connect to
network
Yes
Fix all the resistor
Check
R557,R558,R559,R560,R
561 is on in main board
Chan
g
e P400
Check if LFE8634 is on
In mainboard
No
Fix LFE8634 in mainboard
Yes
4-6
Trouble shooting chart