EasyManua.ls Logo

Philips Divar Digital versatile recorder - Search Mode; Search Criteria; Search Results

Philips Divar Digital versatile recorder
18 pages
Print Icon
To Next Page IconTo Next Page
To Next Page IconTo Next Page
To Previous Page IconTo Previous Page
To Previous Page IconTo Previous Page
Loading...
Live, playback and search modes
Philips Communication, Security & Imaging 11
English
Protecting a video recording
1.
Press the pause key for longer than one second during playback to mark the
beginning of a protected recording.
> A dialog window appears.
> The time and date of the marker at which protection of the video starts is shown.
2.
Press the select key to continue playing the video you wish to protect.
3.
During playback, press the pause key for longer than one second again to
mark the end of a protected recording.
> A dialog window appears.
> The date and time of the beginning and end markers of the video to be protected is
shown.
4.
Select Ye s to protect the marked video from deletion.
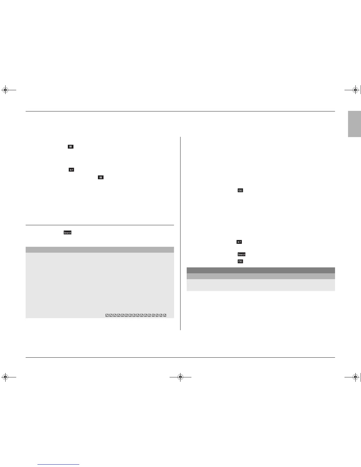
Search mode
Press the search key to open the search menu. Use the search menu to
search for stored video recordings.
>> SEARCH CRITERIA
•Set the
Event filter
to search for only alarm events, only motion events or
both.
•Set to
None
so that the search is not restricted by events.
Fill in a time and date from where to start the search.
Specify the cameras to search for. The selected cameras are shown at the
bottom of the menu with a check mark.
Press a camera key to change the selection.
•Select
Search results
to see a list of results.
Press the escape key to exit the search mode and return to the
previous mode.
>> SEARCH RESULTS
The recording fitting the filter and closest to the start date and time is
shown first.
Use the up/down arrow keys to move through a long list. The selected
recording is shown.
Use the left and right arrow keys to change the direction of play.
Press the select key for a full-screen playback of the selected
recording.
Press the search key during playback to return to the list.
Press the escape key to return to the filter menu.
PLAYBACK SEARCH
SEARCH EVENT FILTER ALARM/MOTION
CAMERA ALL
START TIME 2002-03-14 13:00
SEARCH RESULTS >
DISK CONTENTS
EARLIEST TIME 2002-03-14 14:00
LATEST TIME 2002-06-19 20:23
1 2 3 4 5 6 7 8 9 0 1 2 3 4 5 6
FILTER
PLAYBACK SEARCH
SEARCH RESULTS
CAMERA 1 MOTION 2002-03-14 15:00:17
DVR16_LUI_DFUv1_1.book Page 11 Thursday, January 23, 2003 6:38 PM

Related product manuals