EasyManua.ls Logo

Philips DVP3000K - Page 12

Philips DVP3000K
53 pages
Print Icon
To Next Page IconTo Next Page
To Next Page IconTo Next Page
To Previous Page IconTo Previous Page
To Previous Page IconTo Previous Page
Loading...
4-2
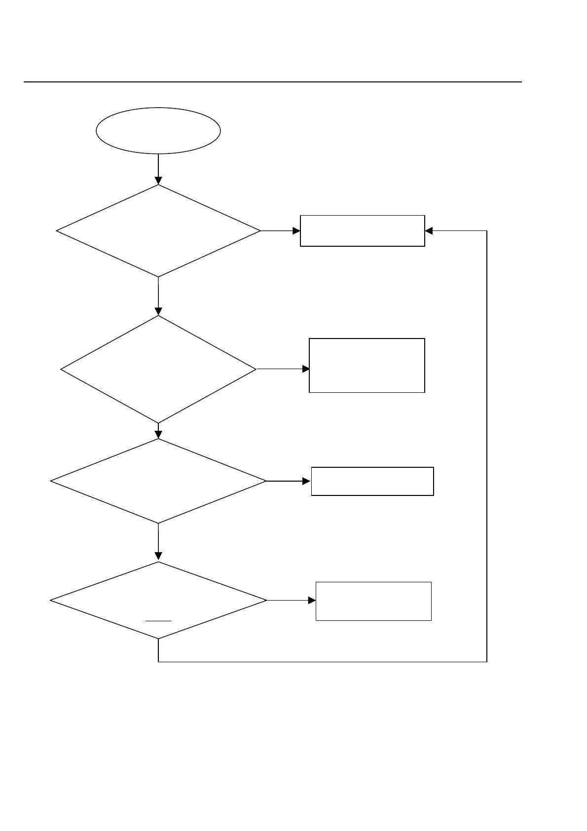
The pow er can not be on or off
Go
Yes
Yes
No
No
The pow er can’t be
on or off
Yes
Repair the pow er board
C heck the pow er suppl
y
on the pow er board is
normal.
C heck/Correct
connection
W hether the connection
to K 301 is broken.
Correct the connection
R eplace U3.
No
No
Yes
Yes
C heck if the CON2 on the
front board to CN6 on the
decoder board is in good
contact.
W hether there is 0V and
3.3V voltage difference on
Pin 100 PCO N
of U3.
Trouble shooting chart
www.freeservicemanuals.info
World of Free Manuals

Related product manuals