EasyManua.ls Logo

Philips DVP3000K - Page 13

Philips DVP3000K
53 pages
Print Icon
To Next Page IconTo Next Page
To Next Page IconTo Next Page
To Previous Page IconTo Previous Page
To Previous Page IconTo Previous Page
Loading...
4-3
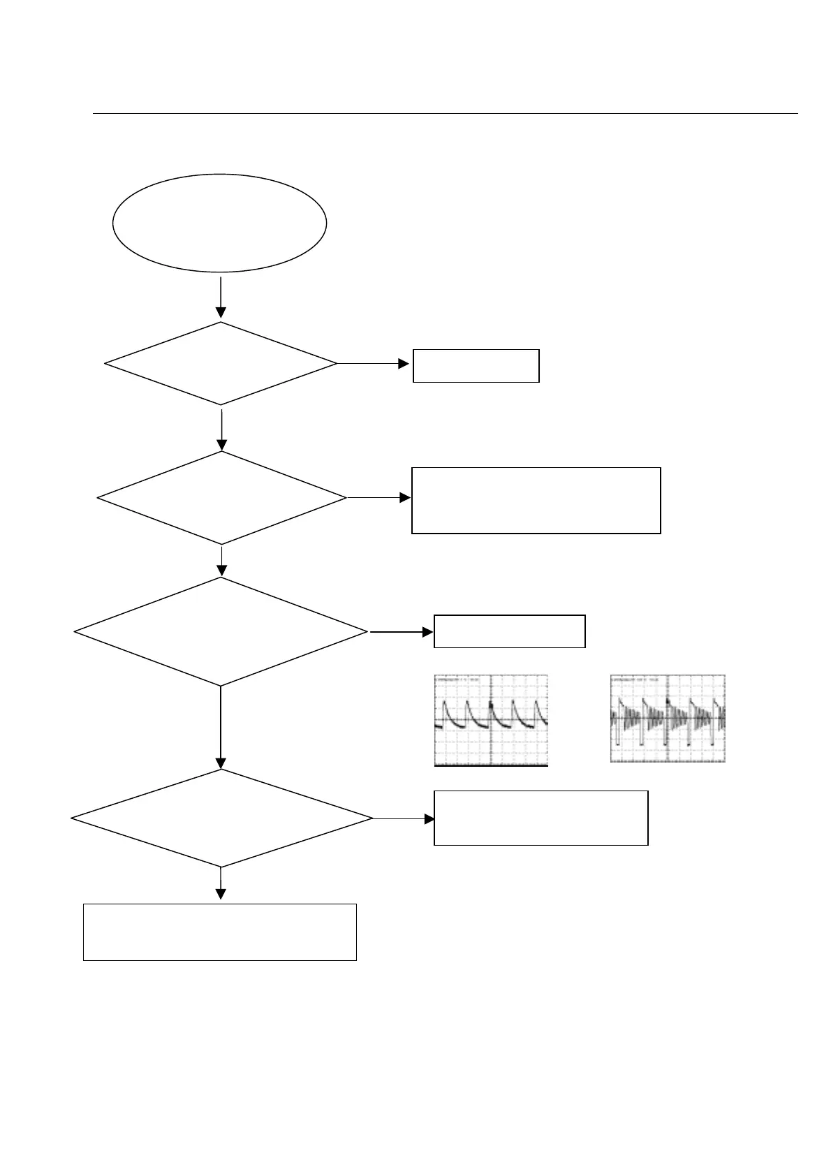
All output voltages on the pow er board is 0V or deviated.
No
No
No
Yes
No
U1(PIN 8 - Drain waveform)
R eplace F1
R eplace C 4 if D1, D2, D3, D4 are
normal.
C heck/ replace U1.
C heck w hether U1 are eroded.
ll output voltages on
the pow er board is 0V o
r
deviated
C heck w hether there is
300V on C4.
C heck w hether 100K H z
oscillating signal on
Pin6 of U1
C heck if +5V, +3.3v, +12V,
-12V and -24V are short.
C heck w hether the com ponents in the
short-circuit voltage are defected or eroded.
Yes
Yes
Yes
Yes
U1(PIN 3 - RC waveform)
Trouble shooting chart
C heck w hether
F1 is blow n
www.freeservicemanuals.info
World of Free Manuals

Related product manuals