EasyManua.ls Logo

Philips DVP520 - Page 12

Philips DVP520
51 pages
Print Icon
To Next Page IconTo Next Page
To Next Page IconTo Next Page
To Previous Page IconTo Previous Page
To Previous Page IconTo Previous Page
Loading...
4-3
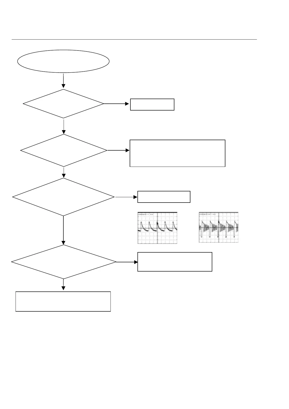
All output voltages on the power board is 0V or deviated.
No
No
No
Yes
No
U201(PIN 8 - Drain waveform)
Replace F201
1.Check D201, D202, D203, D204.
2.Replace C203 if D201, D202, D203, D204
are normal.
Check/ replace U201.
Check whether U202 and U203
are eroded.
Check whether there is
300V on C203.
Check whether 100KHz
oscillating signal on
Pin3 of U201
Check if +5V, +3.3v, +12V,
-12V and -24V are short.
Check whether the components in the
short-circuit voltage are defected or eroded.
Yes
Yes
Yes
Yes
U201(PIN 3 - RC
waveform)
Trouble shooting chart
Check whether
F201 is blown
ll output voltages on the
ower board is 0V or deviated.

Related product manuals