EasyManua.ls Logo

Pro-Logix PL2320 - Page 15

Pro-Logix PL2320
28 pages
Print Icon
To Next Page IconTo Next Page
To Next Page IconTo Next Page
To Previous Page IconTo Previous Page
To Previous Page IconTo Previous Page
Loading...
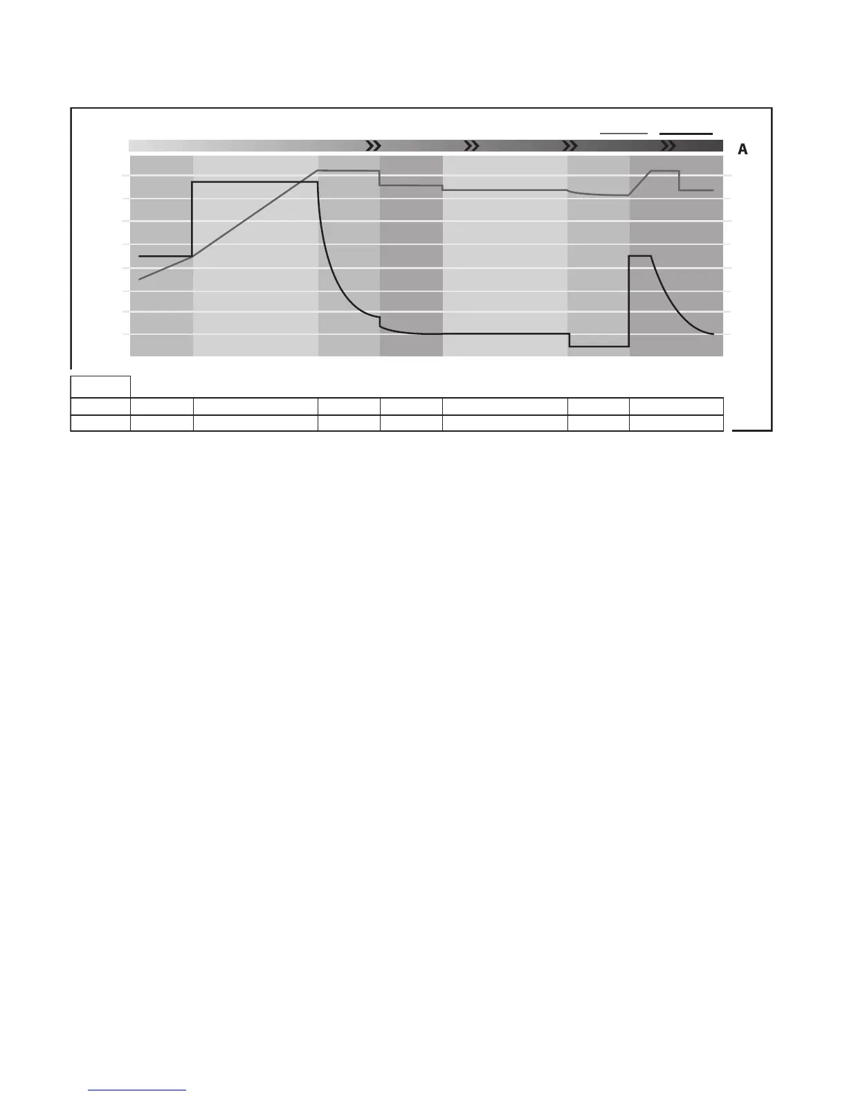
PROGRESO DE CARGA E INFORMACIÓN EN PANTALLA
FASE 1FASE 2FASE 3FASE 4FASE 5FASE 6FASE 7
ACTIVACIÓN CARGA RÁPIDA ABSORCIÓN FINALIZACIÓN RESTABLECIMIENTOEN REPOSO EN ACTIVIDAD
14
12
10
8
6
4
2
0
VOLTAJE CORRIENTE
PROCESO DE CARGA DE MÚLTIPLES FASES
V
21
18
15
12
9
6
3
0
-3
CORRIENTE CONTINUA
VOLTAJE
CONTINUA
INDICADORES
DE ESTADO
CARGA
COMPLETA
ENCENDIDAPARPADEO APAGADA
ENCENDIDA
PARPADEO PARPADEO
ENCENDIDAENCENDIDA
PANTALLA = EP
TIEMPO TRANSCURRIDO
APAGADA
ENCENDIDA
APAGADA
ENCENDIDA
APAGADA
ENCENDIDA
El cargador utiliza un proceso de carga de múltiples etapas patentado, diseñado para cargar y mantener las baterías de
forma óptima. Más arriba se muestra un ejemplo. La representación anterior muestra la rutina de carga al cargar una
batería AGM completamente descargada en la configuración de 20 A. (La rutina de carga para el modelo PL2310 es
similar, sólo con tasas más bajas de carga.)
FASE DE ACTIVACIÓN
El proceso de carga incluye un modo de activación inicial que el cargador determina como el mejor pasaje de carga para
la batería conectada. A partir de ese momento, el cargador puede entrar en la etapa de Carga rápida (en la mayoría de
los casos), el Modo de arranque suave, el Modo de reacondicionamiento de batería o puede detener la rutina de carga
debido a la detección de condiciones de carga no seguras (cortocircuitos, etc.).
MODO DE ARRANQUE SUAVE
El Modo de arranque suave se activa cuando el cargador se conecta a una batería completamente descargada. Este
modo protege la batería durante el periodo inicial de la carga, a medida que el voltaje de la batería se incrementa a un
nivel más normal, y resulta beneficioso para el buen estado de la batería a largo plazo.
MODO DE REACONDICIONAMIENTO DE LA BATERÍA
Durante la Fase de activación, si el cargador detecta la presencia de sulfatación de la batería, activará este modo. Si
esto ocurre, el LED de CARGA parpadeará. Esto indica que el tiempo de carga se extenderá mientras el cargador intenta
reacondicionar la batería.
FASES 5-7 PRO-LOGIX: MANTENIMIENTO IDEAL DE LA BATERÍA
Una función clave de este cargador es cómo manejar una batería que permanece en el cargador luego de alcanzar la
carga completa, tal como durante el almacenamiento de un vehículo de uso estacional. Una vez que el cargador llega
a la Fase de reposo, su salida prácticamente se desconecta, excepto para controlar la condición de la batería de vez
en cuando. Esto es beneficioso para una batería que está conectada, ya que reduce la reacción química dentro de la
batería en comparación a los modos de mantenimiento convencionales de los cargadores. Esto reduce en gran medida la
probabilidad de dañar una batería durante el almacenamiento a largo plazo.
Además, en la Fase 6, En actividad, se introduce una carga en la batería, que simula el uso activo y, a continuación, se
recarga la batería hasta la carga completa. La función En actividad mantiene la batería en óptimas condiciones durante
periodos de almacenamiento o en que no se utiliza.
OPCIONES DE PANTALLA
Salvo cuando el cargador se encuentre en la Fase en actividad o se detecte un error, la pantalla del cargador ofrecerá
dos opciones en cuanto a la información suministrada: Voltaje de la batería o Porcentaje de carga de la batería. Para
cambiar la pantalla de un modo a otro, presione el botón de la flecha que se encuentra debajo de la pantalla.

Related product manuals