EasyManua.ls Logo

Pro-Logix PL2320 - Page 24

Pro-Logix PL2320
28 pages
Print Icon
To Next Page IconTo Next Page
To Next Page IconTo Next Page
To Previous Page IconTo Previous Page
To Previous Page IconTo Previous Page
Loading...
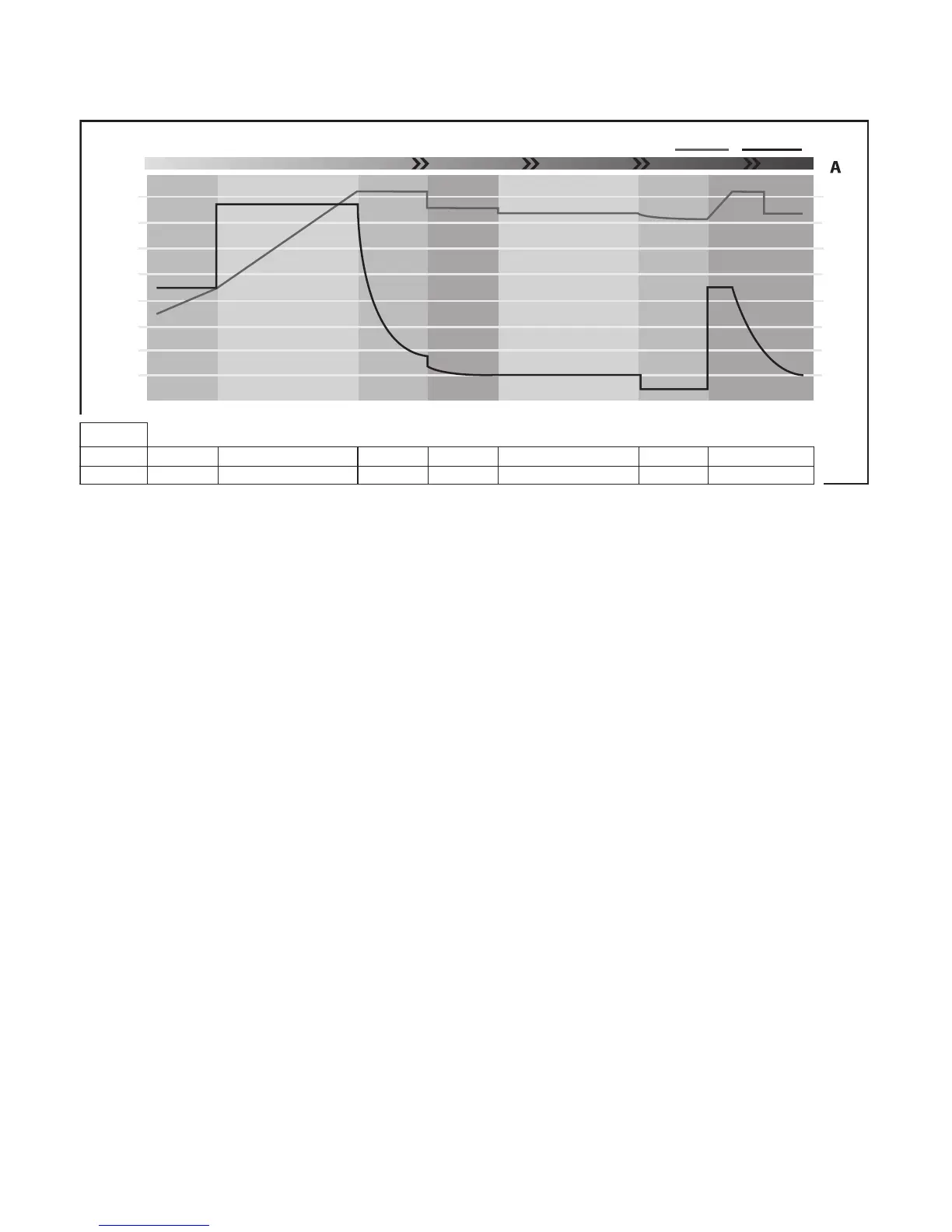
CHARGEMENT EN COURS ET AFFICHAGE DE FEEDBACK
PHASE 1 PHASE 2 PHASE 3 PHASE 4 PHASE 5 PHASE 6 PHASE 7
MISE SOUS
TENSION
CHARGE RAPIDE ABSORPTION ACHÈVEMENT RESTAURATIONREPOS EXERCICE
14
12
10
8
6
4
2
0
TENSION COURANT
PROCESSUS DE CHARGEMENT MULTIPHASE
V
21
18
15
12
9
6
3
0
-3
COURANT CONSTANT
TENSION
CONSTANTE
INDICATEURS
D'ÉTAT
CHARGEMENT
TERMINÉ
ON CLIGNOTANT OFF
ON
CLIGNOTANT CLIGNOTANT
ON ON
AFFICHAGE = EP
TEMPS ÉCOULÉ
OFF
ON
OFF
ON
OFF
ON
Le chargeur utilise un processus de chargement exclusif échelonné conçu pour charger et alimenter les batteries de
façon optimale. Un exemple est montré ci-dessus. La représentation ci-dessus montre la routine de chargement lors de
la recharge d’une batterie AGM complètement déchargée en 20A. (La routine de chargement pour le modèle PL2310 est
similaire, tout simplement avec des taux inférieurs de charge.)
PHASE DE MISE SOUS TENSION
Le processus de chargement comprend un mode initial de mise sous tension où le chargeur détermine le meilleur moyen
de charger la batterie connectée. À partir de là, le chargeur peut entrer dans la phase de charge rapide (la plupart des
cas), le mode de démarrage progressif, le mode de reconditionnement de la batterie ou arrêter la routine de chargement
car des conditions non sécuritaires (court-circuit, etc.) ont été détectées.
MODE DE DÉMARRAGE PROGRESSIF
Le mode de démarrage progressif est activé lorsque le chargeur est branché à une batterie complètement déchargée. Ce
mode protège la batterie pendant la période de charge initiale, au fur et à mesure que la tension de la batterie atteint un
niveau normal, et est bénéfique pour la santé à long terme de la batterie.
MODE DE RECONDITIONNEMENT DE LA BATTERIE
Pendant la phase de mise sous tension, si le chargeur détecte la présence de sulfatation de la batterie, il activera ce
mode. Si cela se produit, le voyant CHARGEMENT clignotera. Cela indique que le temps de charge sera étendu pendant
que le chargeur tente de reconditionner la batterie.
PRO-LOGIX PHASES 5-7 : ENTRETIEN IDÉAL DE LA BATTERIE
Une caractéristique clé de ce chargeur est la façon dont il gère une batterie qui reste sur le chargeur après une charge
complète, comme lors de l’entreposage d’un véhicule dont l’utilisation est saisonnière. Une fois que le chargeur atteint
la phase de repos, il est quasiment éteint, sauf pour surveiller occasionnellement l’état de la batterie. Ceci est bénéfique
pour la batterie connectée car cela réduit la réaction chimique dans la batterie par rapport aux modes traditionnels
d’entretien du chargeur. Ceci réduit considérablement le risque d’endommager une batterie lors d’un stockage à long
terme.
En outre, dans la phase 6 Exercice, on introduit une charge sur la batterie, en simulant une utilisation active, puis on
recharge la batterie à pleine charge. Cette fonctionnalité Exercice maintient la batterie en condition optimale pendant les
périodes de stockage et de non-utilisation.
OPTIONS D’AFFICHAGE
En dehors des cas où le chargeur est en phase Exercice ou si une erreur est détectée, l’affichage du chargeur offre deux
options d’informations : Tension de la batterie ou pourcentage de charge de la batterie. Pour modifier l’affichage d’un
mode à l’autre, appuyez sur la touche fléchée sous l’écran.

Related product manuals