EasyManua.ls Logo

Pro-Logix PL4020 - Page 24

Pro-Logix PL4020
28 pages
Print Icon
To Next Page IconTo Next Page
To Next Page IconTo Next Page
To Previous Page IconTo Previous Page
To Previous Page IconTo Previous Page
Loading...
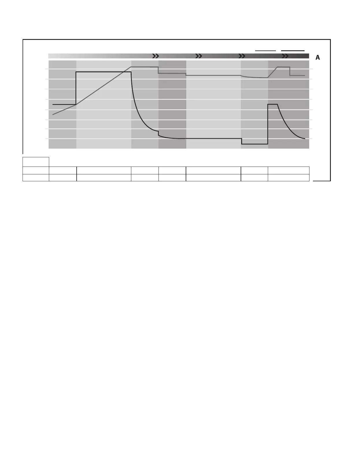
PROGESSION DU CHARGEMENT ET INDICATIONS SUR L’AFFICHAGE
PHASE 1 PHASE 2 PHASE 3 PHASE 4 PHASE 5 PHASE 6 PHASE 7
MISE SOUS
TENSION
CHARGE RAPIDE ABSORPTIONACHÈVEMENT RESTAURATIONREPOS EXERCICE
14
12
10
8
6
4
2
0
TENSION COURANT
PROCESSUS DE CHARGEMENT MULTIPHASE
V
COURANT CONSTANT
TENSION
CONSTANTE
INDICATEURS
D'ÉTAT
CHARGEMENT
TERMINÉ
ON CLIGNOTANT OFF
ON
CLIGNOTANT CLIGNOTANT
ON ON
AFFICHAGE = EP
TEMPS ÉCOULÉ
OFF
ON
OFF
ON
OFF
ON
2.0
1.0
0
Le chargeur utilise un processus de chargement exclusif échelonné conçu pour charger et alimenter de façon optimale
les batteries. Un exemple est montré ci-dessus. La représentation ci-dessus montre le chargement ordinaire d’une
batterie AGM complètement déchargée au réglage 20A. (Le chargement ordinaire des modèles 10A est similaire, il suffit
de réduire la vitesse de charge.)
PHASE DE MISE SOUS TENSION
Le processus de chargement comprend une mode de mise sous tension initiale au cours duquel le chargeur détermine le
meilleur moyen pour charger la batterie connectée. À partir de là, le chargeur peut entrer en phase de charge rapide (la
plupart des cas), en mode démarrage progressif, en mode reconditionnement de la batterie ou arrêter le chargement en
raison de la détection de conditions dangereuses (court-circuit, etc.).
MODE DE DEMARRAGE PROGRESSIF
Le mode de démarrage progressif est activé lorsque le chargeur est connecté à une batterie complètement déchargée.
Ce mode protège la batterie pendant la période de charge initiale, au fur et à mesure que la tension de la batterie s’élève
à un niveau normal, et est bénéfique pour la durée de vie de la batterie.
MODE RECONDITIONNEMENT DE BATTERIE
Pendant la phase de mise sous tension, si le chargeur détecte la présence de sulfatation, il activera ce mode. Si cela
se produit, le voyant CHARGEMENT clignotera. Cela indique que le temps de chargement sera prolongé alors que le
chargeur tente de reconditionner la batterie.
PRO-LOGIX PHASES 5-7: ENTRETIEN IDEAL DE LA BATTERIE
Une caractéristique essentielle de ce chargeur est la façon dont il gère une batterie restant sur le chargeur après avoir
été complètement chargée, comme lors de l’entreposage d’un véhicule dont l’utilisation est saisonnière. Dès lors que
le chargeur atteint la phase de repos, sa sortie est pratiquement coupée, permettant seulement de surveiller l’état de
la batterie. Ceci est bénéfique pour la batterie connectée car les risques de réactions chimiques au sein de la batterie
sont réduits comparés aux modes d’entretien des chargeurs traditionnels. Cela réduit considérablement les risques
d’endommager la batterie lors d’un entreposage à long terme.
De plus, dans la phase 6 Exercice, nous introduisons une charge sur la batterie, simulant ainsi une utilisation active, puis
rechargeons complètement la batterie. Cette fonctionnalité Exercice maintient la batterie en condition optimale pendant
des périodes d’entreposage et de non-utilisation.

Related product manuals