EasyManua.ls Logo

Pro-Logix PL4020 - CHARGING PROGRESS AND DISPLAY FEEDBACK; Multi-Phase Charging Process

Pro-Logix PL4020
28 pages
Print Icon
To Next Page IconTo Next Page
To Next Page IconTo Next Page
To Previous Page IconTo Previous Page
To Previous Page IconTo Previous Page
Loading...
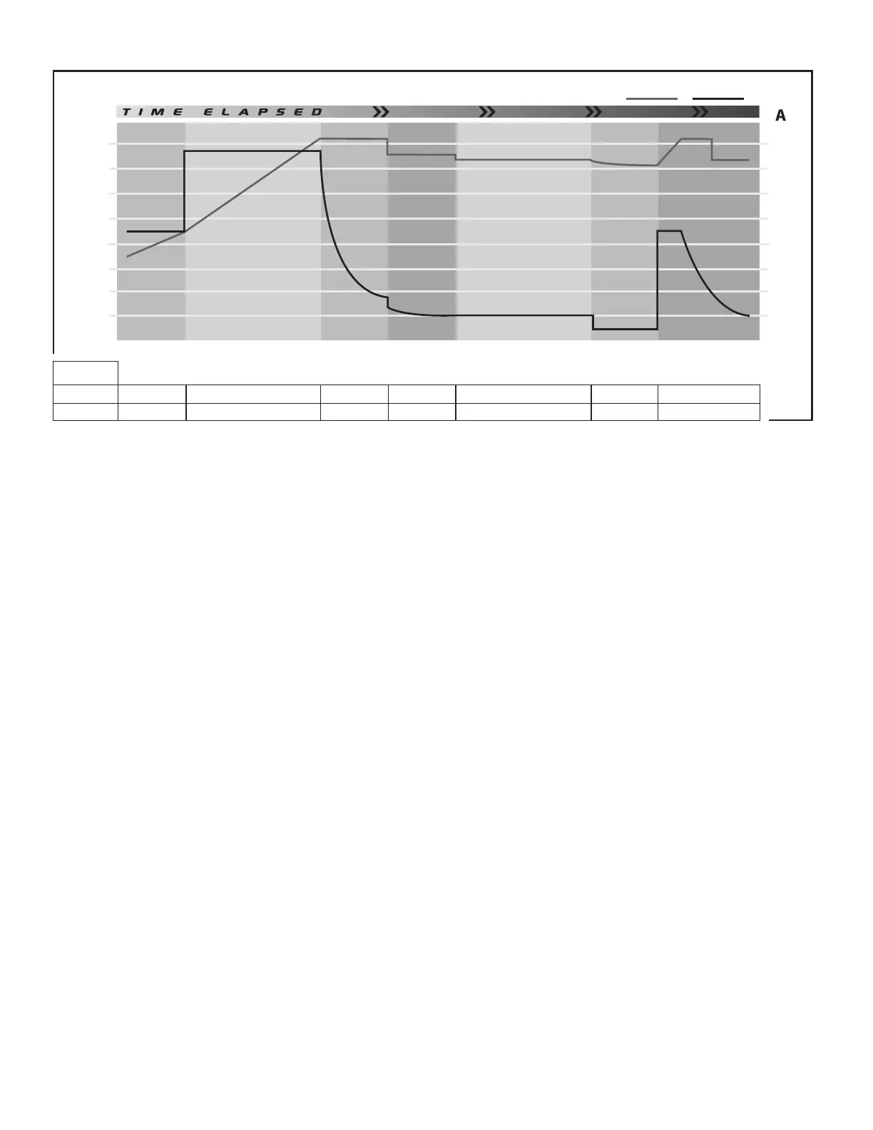
CHARGING PROGRESS AND DISPLAY FEEDBACK
PHASE 1 PHASE 2 PHASE 3 PHASE 4 PHASE 5 PHASE 6 PHASE 7
ENERGIZING FAST CHARGE ABSORPTIONCOMPLETION RESTORINGRESTING EXERCISING
14
12
10
8
6
4
2
0
VOLTAGE CURRENT
MULTI-PHASE CHARGING PROCESS
V
2.0
1.0
0
CONSTANT CURRENT
CONSTANT
VOLTAGE
STAT US
INDICATORS
CHARGING
COMPLETE
ON
OFF
ON
OFF
FLASHING
ON
OFF
ON
FLASHING FLASHING
ON ON
ON
OFF
The charger uses a proprietary Multi-Stage charging process designed to optimally charge and maintain batteries. An
example is shown above. The representation above shows the charging routine when charging a deeply discharged
AGM battery in the 20A setting. (The charging routine for 10A models is similar, simply with lower charging rates.)
ENERGIZING PHASE
The charging process includes an initial energizing mode in which the charger determines the best charging path for
the connected battery. From there, the charger can enter the Fast Charge stage (most cases), Soft Start Mode, Battery
Recondition Mode or stop the charging routine because unsafe battery conditions (short, etc.) are detected.
SOFT START MODE
Soft Start Mode is activated when the charger is connected to a deeply discharged battery. This mode protects the battery
during the initial charge period, as the battery’s voltage rises to a more normal level, and is beneficial for the long-term
health of the battery.
BATTERY RECONDITION MODE
During the Energizing Phase, if the charger detects the presence of battery sulfation, it will activate this mode. If this
occurs, the CHARGING LED will flash. This indicates the charge time will be extended while the charger attempts to
recondition the battery.
PRO-LOGIX PHASES 5-7: IDEAL BATTERY MAINTENANCE
A key feature of this charger is how it manages a battery that remains on the charger after a complete charge has been
achieved, such as during the storage of a seasonal use vehicle. Once the charger reaches the Resting Phase, its output
is virtually turned off, except to occasionally monitor battery condition. This is beneficial for the connected battery, as it
reduces chemical reaction within the battery compared to traditional charger maintenance modes. This greatly reduces the
chance of damaging a battery in long-term storage.
In addition, in Phase 6 Exercising, we introduce a load on the battery, simulating active use, and then recharge the battery
to full charge. This Exercising feature keeps the battery in optimal condition during periods of storage and non-use.
ADDITIONAL FEATURES
MULTIPLE BATTERY COMPATIBILITY
The charger will properly charge a wide variety of battery types, including Conventional, Maintenance Free, AGM,
Spiral Wound and Deep Cycle batteries.
SMART CLAMP TECHNOLOGY
The charger will send power to the output leads only when a proper battery connection is made.

Related product manuals