EasyManua.ls Logo

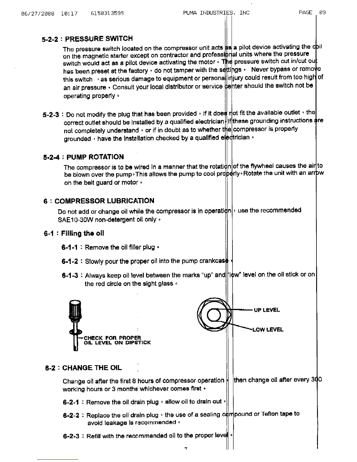
Puma pk5020 - COMPRESSOR LUBRICATION; Filling the oil; CHANGE THE OIL

Puma pk5020
13 pages
Print Icon
To Next Page IconTo Next Page
To Next Page IconTo Next Page
To Previous Page IconTo Previous Page
To Previous Page IconTo Previous Page
Loading...