EasyManua.ls Logo

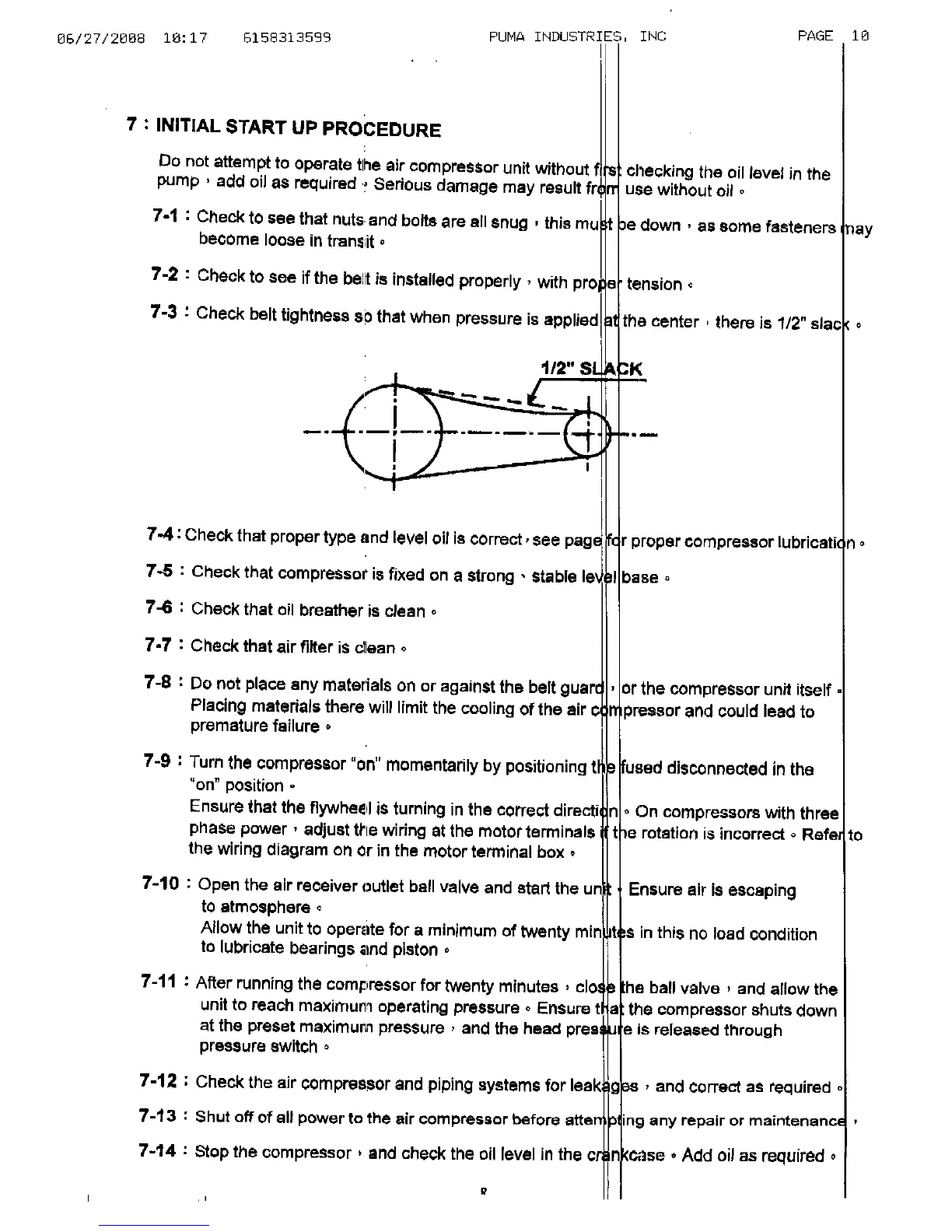
Puma pk5020 - INITIAL START UP PROCEDURE; Check that proper type and level oil is correct; Open the air receiver outlet ball valve and start the unit; After running the compressor for twenty minutes, close the ball valve

Puma pk5020
13 pages
Print Icon
To Next Page IconTo Next Page
To Next Page IconTo Next Page
To Previous Page IconTo Previous Page
To Previous Page IconTo Previous Page
Loading...