EasyManua.ls Logo

Quietside QSFMO-D2 - Page 22

Quietside QSFMO-D2
55 pages
Print Icon
To Next Page IconTo Next Page
To Next Page IconTo Next Page
To Previous Page IconTo Previous Page
To Previous Page IconTo Previous Page
Loading...
31

Service Manual
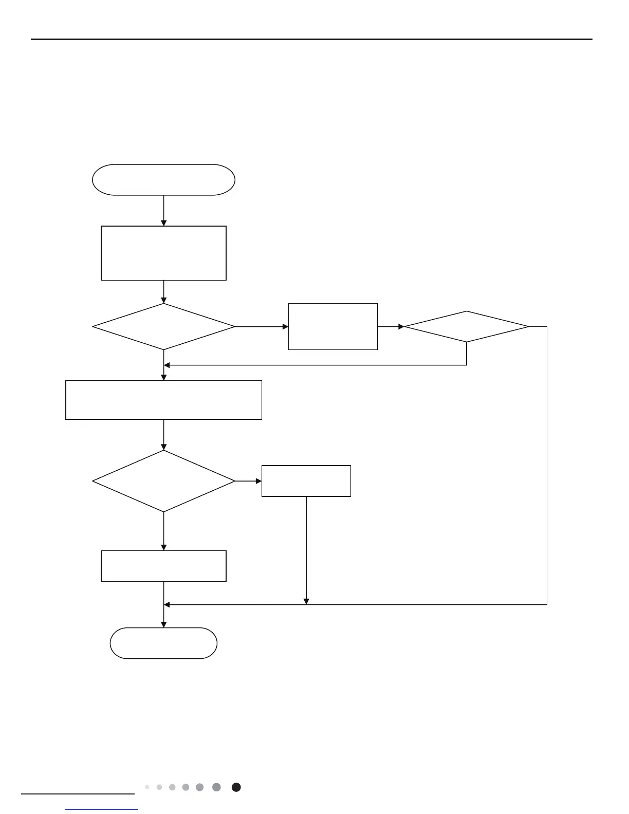
(7) Communication malfunction
Main checking points:
ƽ
ƽIf the indoor mainboard or outdoor main board is broken;
If the connection wire between the indoor unit and outdoor unit is connected well, if the wires inside the unit is connected well;
Flow chart:
Eliminate the malfunction
End
Communication malfunction of some
indoor units
De-energize,check the connection
wire of indoor and outdoor unit and
the wire of the eletric box is
connected correctly
no
no
no
Connected correctly
Reconnect according to
the wiring diagram
yes
yes
yes
De-energize, change the communication wire of the well-
communicated indoor unit and malfunction indoor unit,
then energize the unit and wait for 3min
The malfunction indoor unit
resumes normal
Replace outdoor
mainboard
Replace the mainboard of the
malfunction indoor unit

Related product manuals