EasyManua.ls Logo

R&S MR4100E - Figure 5.35 SIP and Proprietary Signalling (ACCEPT, Gateway Radio)

R&S MR4100E
706 pages
Print Icon
To Next Page IconTo Next Page
To Next Page IconTo Next Page
To Previous Page IconTo Previous Page
To Previous Page IconTo Previous Page
Loading...
Operating Manual 6172.5808.02 – 01 5.121
M3SR Series 4100 SIP – Useful Information for System Integration
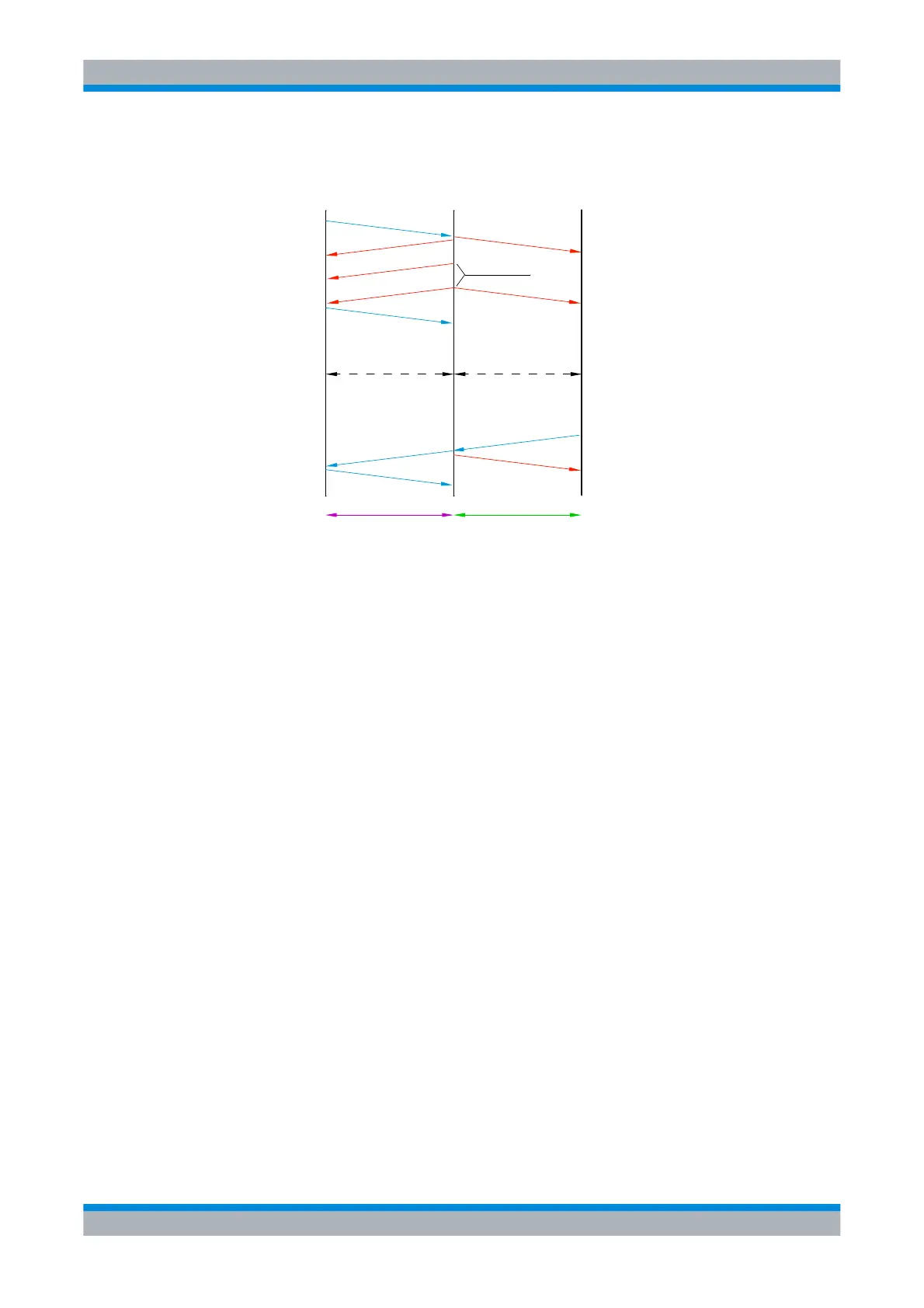
Figure 5.35 SIP and Proprietary Signalling (ACCEPT, Gateway Radio)
Figure 5.35: An external VoIP user calls the radio network; the VoIP gateway radio accepts
the incoming call (automatic call accept delay timer expires) and, eventually, the call session
is successfully established and, at last, a radio terminates the call session.
1
0
0
T
r
y
i
n
g
C
O
N
N
E
C
T
E
D
ICN-4G-N-231054-R-D0894-00008-A-01-1
both way
RTP media
Broadcast
2
0
0
O
K
B
Y
E
R
E
L
E
A
S
E
D
SIP Proxy
Gateway Radio Endpoint Radios
SIP Signalling Proprietary Signalling
I
N
V
I
T
E
I
N
C
O
M
I
N
G
1
8
0
R
i
n
g
i
n
g
2
0
0
O
K
A
C
K
H
A
N
G
U
P
Accept Delay

Table of Contents

Related product manuals