EasyManua.ls Logo

Remos GX - 5 Performance; Take-Off Distances

Remos GX
111 pages
Print Icon
To Next Page IconTo Next Page
To Next Page IconTo Next Page
To Previous Page IconTo Previous Page
To Previous Page IconTo Previous Page
Loading...
Rev. 02 – July 16
th
, 2009
5 Performance
Towing Glider Supplement 10.2 - 8
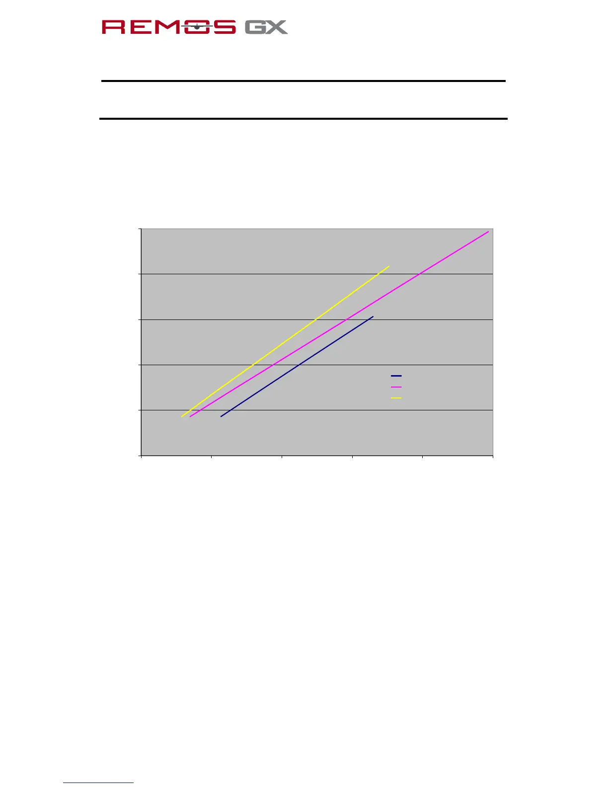
5.1 Take-Off Distances
If the REMOS GX is equipped with Sensenich R70EN or Neuform
CR3-65 propeller, the following T/O distances from hard surface
runway apply:
Take-off distance above 50ft obstacle
hard surface runway, wind calm, ICAO standard atmosphere
600
800
1000
1200
1400
1600
1000 1200 1400 1600 1800 2000
glider weight [lb]
distance [ft]
Tonini GT-2
Neuform and Sensenich
Rospeller (*)
Take-off distance in feet, glider weight in pound, wind calm, above 50 ft obstacle
within the conditions of the ICAO standard atmosphere, flaps 15°
(*) Not for ASTM aircraft certified in USA

Related product manuals