EasyManua.ls Logo

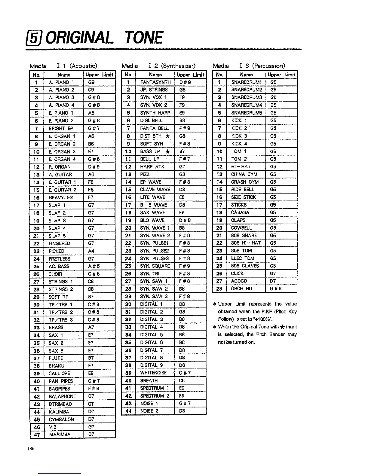
Roland D-70 - Reference Lists; Original Tone List

Roland D-70
222 pages
To Next Page IconTo Next Page
To Next Page IconTo Next Page
To Previous Page IconTo Previous Page
To Previous Page IconTo Previous Page
Loading...

Table of Contents

Related product manuals