EasyManua.ls Logo

Samsung 910MP - Page 10

Samsung 910MP
56 pages
Print Icon
To Next Page IconTo Next Page
To Next Page IconTo Next Page
To Previous Page IconTo Previous Page
To Previous Page IconTo Previous Page
Loading...
2 Product Specifications2 Product Specifications
2-6
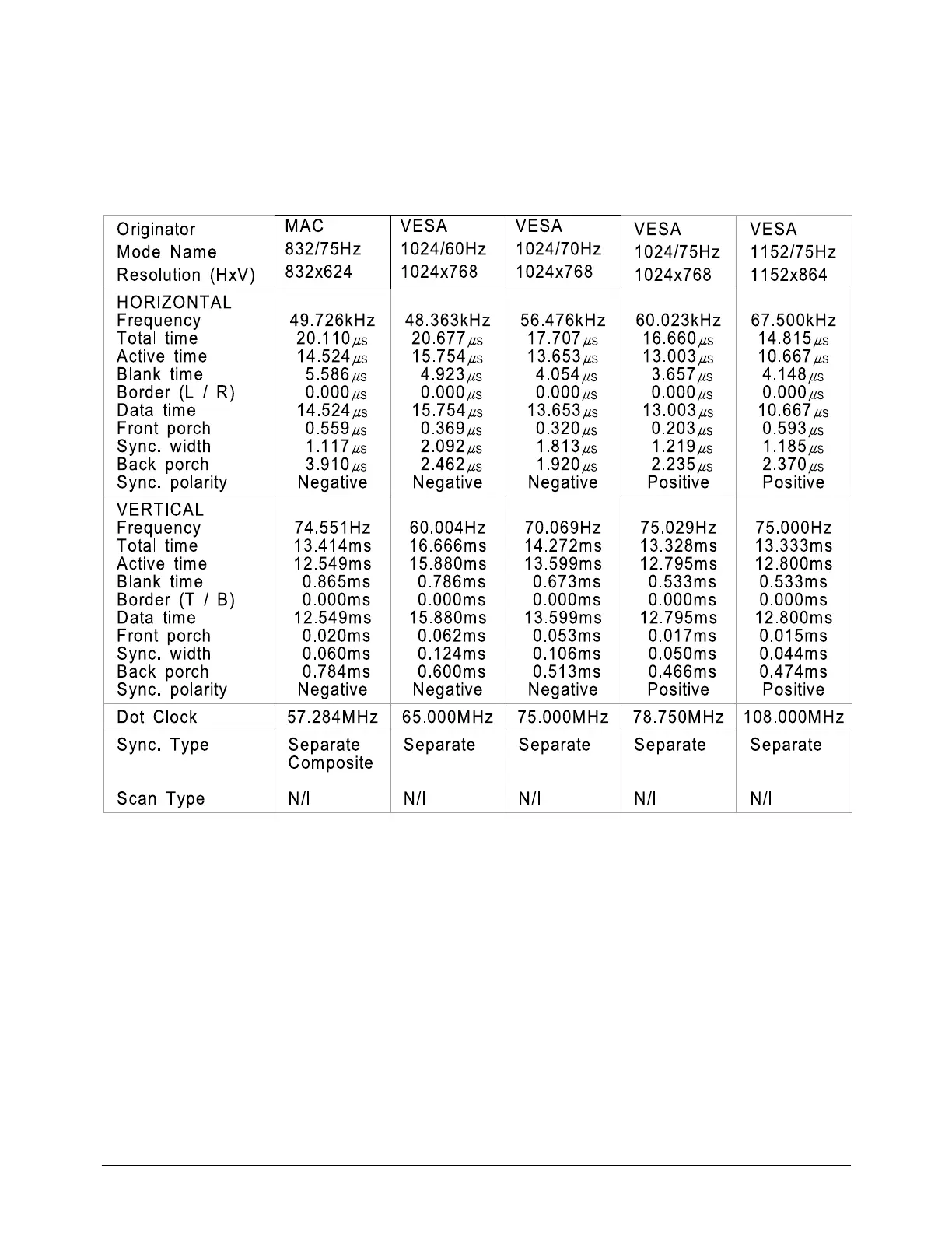
Table 2-4 Timing Chart

Related product manuals