EasyManua.ls Logo

Samsung Quantum 2.0 - Page 44

Samsung Quantum 2.0
60 pages
Print Icon
To Next Page IconTo Next Page
To Next Page IconTo Next Page
To Previous Page IconTo Previous Page
To Previous Page IconTo Previous Page
Loading...
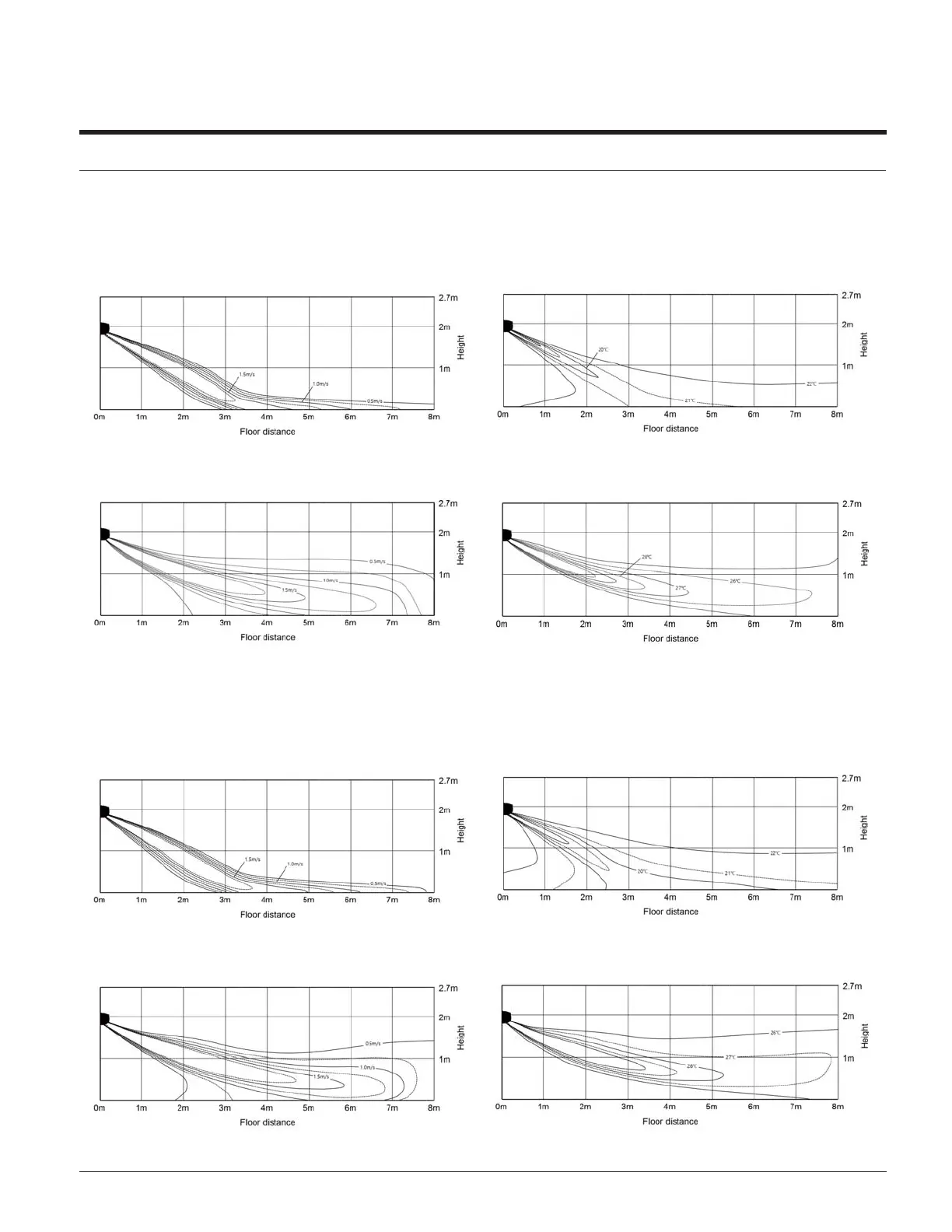
7. Temperature and air flow distribution
44
RNS18YBT (AR18TSFYBWKNCV)
Cooling air velocity distribution Cooling Temperature distribution
(Discharge angle : 20 degree) (Discharge angle : 20 degree)
Heating air velocity distribution Heating Temperature distribution
(Discharge angle : 30 degree) (Discharge angle : 30 degree)
RNS24YBT (AR24TSFYBWKNCV)
Cooling air velocity distribution Cooling Temperature distribution
(Discharge angle : 20 degree) (Discharge angle : 20 degree)
Heating air velocity distribution Heating Temperature distribution
(Discharge angle : 30 degree) (Discharge angle : 30 degree)
Quantum 2.0

Related product manuals