EasyManua.ls Logo

Samsung RHF025EE - 9-4 Fault Diagnosis by Symptom

Samsung RHF025EE
84 pages
Print Icon
To Next Page IconTo Next Page
To Next Page IconTo Next Page
To Previous Page IconTo Previous Page
To Previous Page IconTo Previous Page
Loading...
Samsung Electronics 9-3
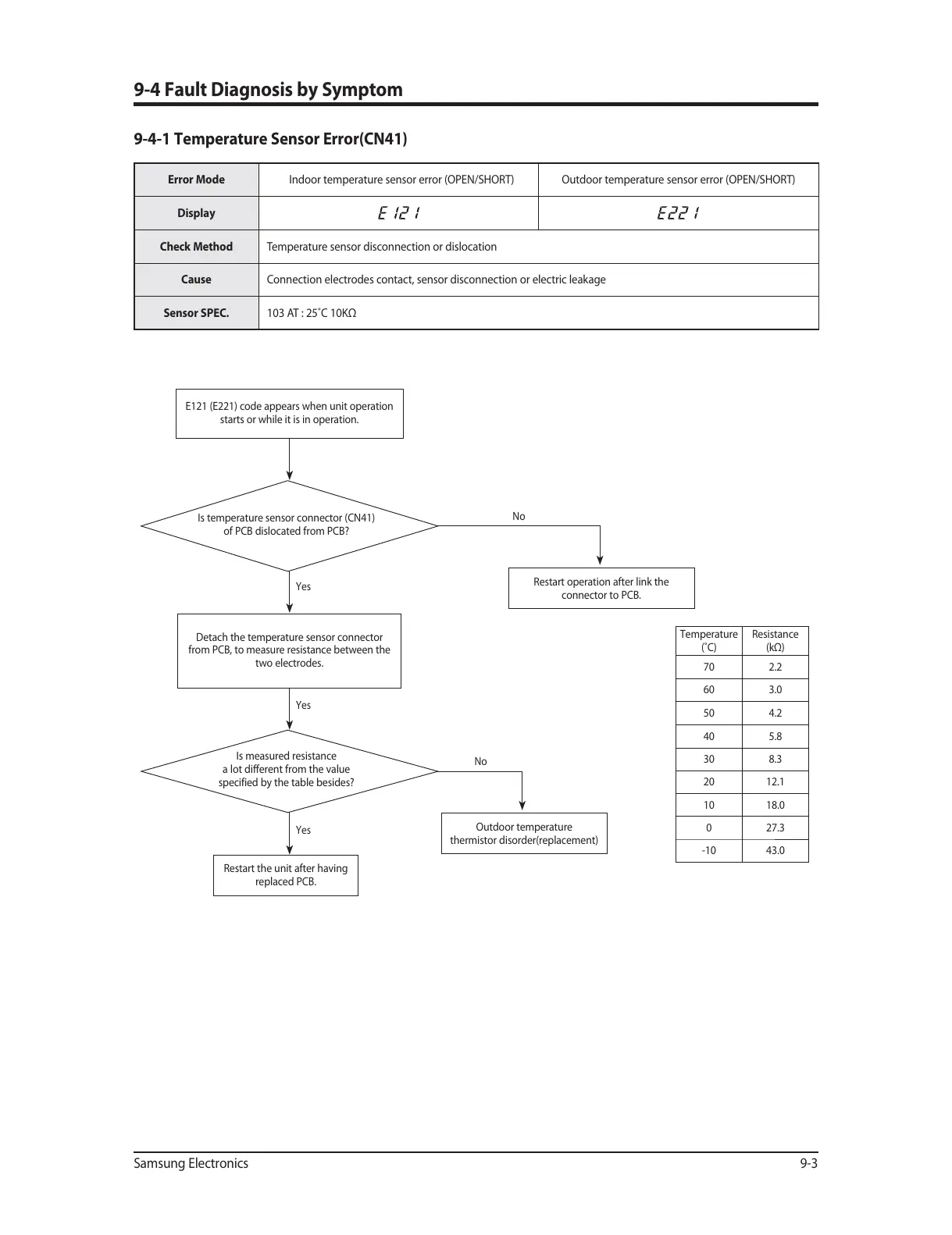
Error Mode Indoor temperature sensor error (OPEN/SHORT) Outdoor temperature sensor error (OPEN/SHORT)
Display
Check Method Temperature sensor disconnection or dislocation
Cause Connection electrodes contact, sensor disconnection or electric leakage
Sensor SPEC. 103 AT : 25˚C 10K
Outdoor temperature
thermistor disorder(replacement)
No
Yes
Yes
E121 (E221) code appears when unit operation
starts or while it is in operation.
Is temperature sensor connector (CN41)
of PCB dislocated from PCB?
Yes
Detach the temperature sensor connector
from PCB, to measure resistance between the
two electrodes.
Restart the unit after having
replaced PCB.
Is measured resistance
a lot different from the value
specified by the table besides?
Restart operation after link the
connector to PCB.
No
Temperature
(˚C)
Resistance
(k)
70 2.2
60 3.0
50 4.2
40 5.8
30 8.3
20 12.1
10 18.0
0 27.3
-10 43.0
9-4-1 Temperature Sensor Error(CN41)
9-4 Fault Diagnosis by Symptom
All manuals and user guides at all-guides.com

Related product manuals