EasyManua.ls Logo

Samsung RHF025EE - Page 68

Samsung RHF025EE
84 pages
Print Icon
To Next Page IconTo Next Page
To Next Page IconTo Next Page
To Previous Page IconTo Previous Page
To Previous Page IconTo Previous Page
Loading...
Samsung Electronics 9-7
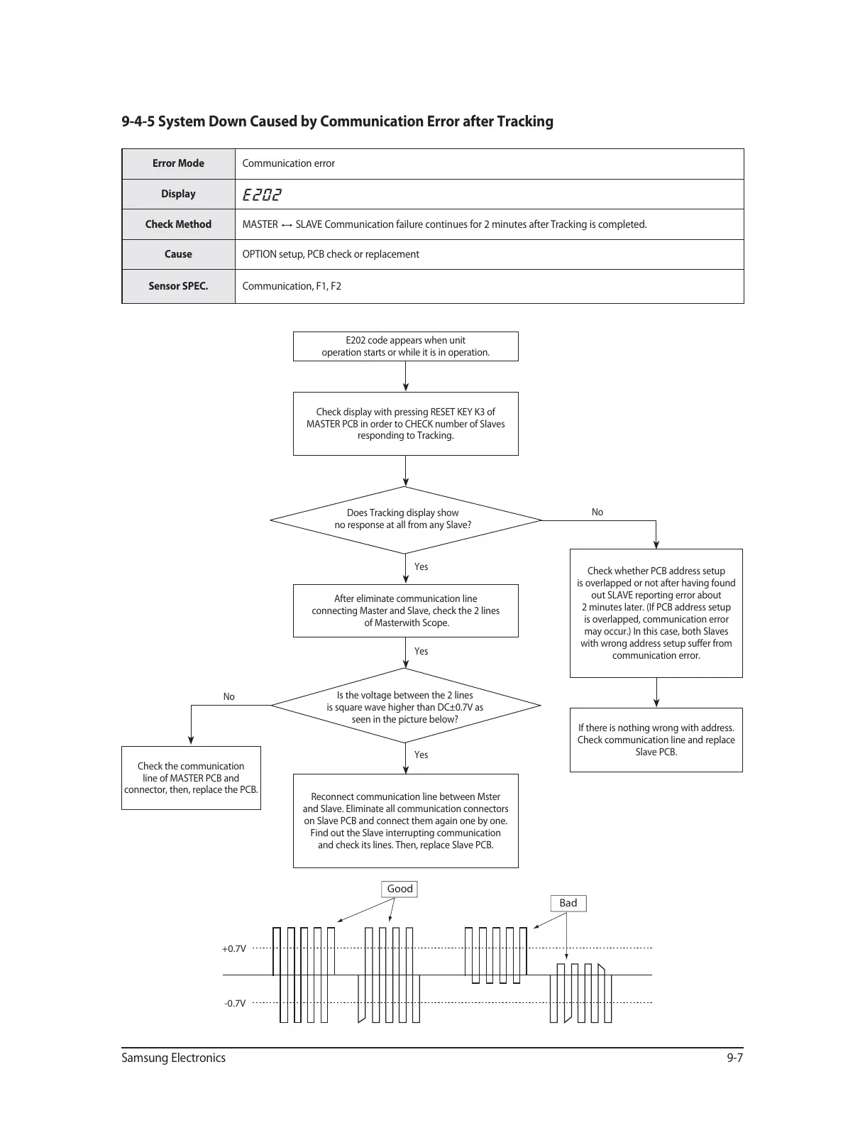
Error Mode Communication error
Display
Check Method
MASTER SLAVE Communication failure continues for 2 minutes after Tracking is completed.
Cause OPTION setup, PCB check or replacement
Sensor SPEC. Communication, F1, F2
9-4-5 System Down Caused by Communication Error after Tracking
Yes
Check whether PCB address setup
is overlapped or not after having found
out SLAVE reporting error about
2 minutes later. (If PCB address setup
is overlapped, communication error
may occur.) In this case, both Slaves
with wrong address setup suffer from
communication error.
No
아니오
Does Tracking display show
no response at all from any Slave?
Check the communication
line of MASTER PCB and
connector, then, replace the PCB.
No
E202 code appears when unit
operation starts or while it is in operation.
Check display with pressing RESET KEY K3 of
MASTER PCB in order to CHECK number of Slaves
responding to Tracking.
After eliminate communication line
connecting Master and Slave, check the 2 lines
of Masterwith Scope.
Reconnect communication line between Mster
and Slave. Eliminate all communication connectors
on Slave PCB and connect them again one by one.
Find out the Slave interrupting communication
and check its lines. Then, replace Slave PCB.
If there is nothing wrong with address.
Check communication line and replace
Slave PCB.
Yes
Yes
+0.7V
-0.7V
Good
Bad
Is the voltage between the 2 lines
is square wave higher than DC±0.7V as
seen in the picture below?
All manuals and user guides at all-guides.com

Related product manuals