EasyManua.ls Logo

Samsung RNS09ABT - Page 46

Samsung RNS09ABT
60 pages
Print Icon
To Next Page IconTo Next Page
To Next Page IconTo Next Page
To Previous Page IconTo Previous Page
To Previous Page IconTo Previous Page
Loading...
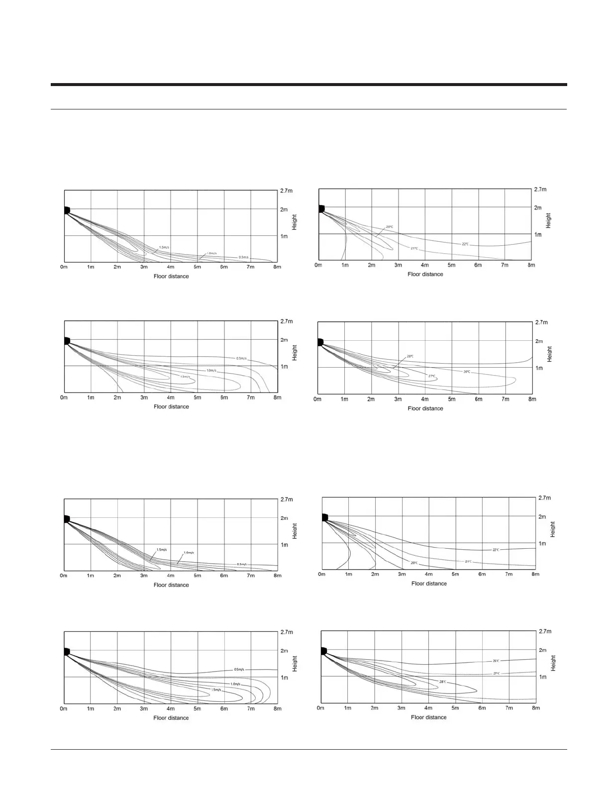
7. Temperature and air flow distribution
46
RNS18ABT (AR18TSFABWKNCV)
Cooling air velocity distribution Cooling Temperature distribution
(Discharge angle : 20 degree) (Discharge angle : 20 degree)
Heating air velocity distribution Heating Temperature distribution
(Discharge angle : 30 degree) (Discharge angle : 30 degree)
RNS24ABT (AR24TSFABWKNCV)
Cooling air velocity distribution Cooling Temperature distribution
(Discharge angle : 20 degree) (Discharge angle : 20 degree)
Heating air velocity distribution Heating Temperature distribution
(Discharge angle : 30 degree) (Discharge angle : 30 degree)
Max Heat 2.0 / Wind-Free™ 2.0

Related product manuals