EasyManua.ls Logo

Samsung SR-S24FTA - 11-2) ICE-MAKER function(FTA; DTA)

Samsung SR-S24FTA
134 pages
Print Icon
To Next Page IconTo Next Page
To Next Page IconTo Next Page
To Previous Page IconTo Previous Page
To Previous Page IconTo Previous Page
Loading...
11-2)
ICE-MAKER
function(FTA/
DTA)
:
)
eThis
is
an
instruction
about
the
function
of
ICE-MAKER,
which
is
optional.
eICE-MAKER
makes
ice
automatically
and
continually.
The
automatic
ice
maker
makes
and
store
ice
in
the
ice
storage
bin.
ICE-DISPENSER
(FTA/
DTA)
is
a
model
which
dispenses
ice
made
to
the
outside
through
the
freezer
compartment
door.
1.
First
operation
function
1)
When
Power
is
off
and
on
again,
there
is
no
operation
for
2
seconds.
And
then,
after
initialization
of
MICOM,
the
horizontality
of
ICE-TRAY
is
sensed.
2)
By
ON/OFF
of
HOR/INV
S
/W
“HIGH”
/”LOW”),
the
horizontality
of
ICE-TRAY
is
sensed.
Inother
words,
as
shown
in
the
following
table,
HOR/INV
S/W
and
LEVER
S/W
are
OFF
and
then,
HIGH
voltage
(usually
DC
5V)
is
under
supplying
or
is
to
be
supplied
to
MICOM
PIN
NO
#50
and
#51
by
operating
Eject
Motor
to
make
ICE-TRAY
in
horizontality.
3)
If
ICE-TRAY
is
sensed
to
be
in
a
horizontality,
stand-by
for
2
hours
(1
cycle
time)
is
maintained.
This
means
that
stand-by
for
horizontality
of
the
ice-tray
is
maintained
for
2
hours
after
the
first
POWER
ON.
4)
After
2
hours
of
stand-by,
the
temperature
is
sensed
by
the
ice-maker
sensor
at
the
bottom
side
of
ICE-TRAY
and
when
-10‘C
continues
for
more
than
5
minutes,
eject
function
operates
to
drop
the
made
ice
in
the
ice
tray
into
the
ice
storage
bin
by
twisting
the
tray.
This
eject
operation
performs
regardless
of
the
presence
of
ice
in
the
ice
tray.
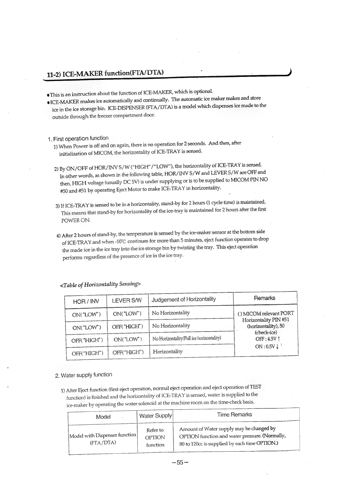
<Table
of
Horizontality
Sensing>
HOR
/
INV
LEVER
SW
_
|
Judgement
of
Horizontality
Ike
ON(“LOW’
)
L
ON(“LOW”)
No
Horizontality
()
MICOM
relevant
PORT
"
.
:
;
Horizontality
PIN
#51
aN
LOW"
i
aces
HIGH")
|
No
Horizontality
(horizontality),
50
heck-i
OFF(
“HIGH”
)
ON(“LOW")
No
Horizontality(Pull
ice
horizontality)
pe
:
mi
t
OFFCHIGH")
|
OFF(HIGH")
|
Horizontality
ON:05V
1
|
L
a
2.
Water
supply
function
1)
After
Eject
function
(first
eject
operation,
normal
eject
operation
and
eject
operation
of
TEST
function)
is
finished
and
the
horizontality
of
ICE-TRAY
is
sensed,
water
is
supplied
to
the
ice-maker
by
operating
the
water
solenoid
at
the
machine
room
on
the
time-check
basis.
Model
:
Water
Supply
Time
Remarks
Refer
t
Amount
of
Wat
1
Model
with
Dispenser
function
ce
ae
=
eteupply
may
be
chanted
Uy
OPTION
OPTION
function
and
water
pressure.
(Normally
(FTA/DTA)
;
:
:
:
function
80
to
120cc
is
supplied
by
each
time
OPTION.)

Other manuals for Samsung SR-S24FTA

Related product manuals