EasyManua.ls Logo

Selve iveo Multi Send - Page 64

Selve iveo Multi Send
104 pages
Print Icon
To Next Page IconTo Next Page
To Next Page IconTo Next Page
To Previous Page IconTo Previous Page
To Previous Page IconTo Previous Page
Loading...

&
Programmation
0ROGRAMMATION
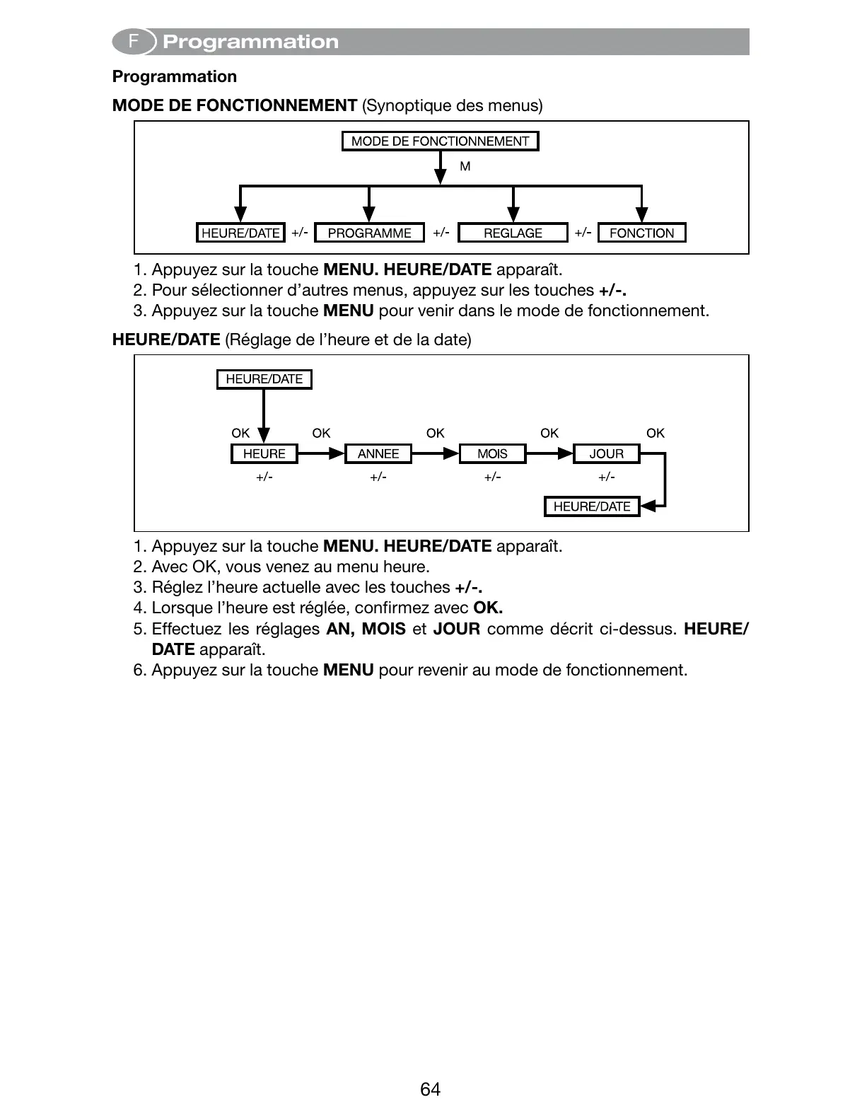
-/$%$%&/.#4)/..%-%.43YNOPTIQUEDESMENUS
!PPUYEZSURLATOUCHE-%.5(%52%$!4%APPARAÅT
0OURSÀLECTIONNERDlAUTRESMENUSAPPUYEZSURLESTOUCHES
!PPUYEZSURLATOUCHE-%.5POURVENIRDANSLEMODEDEFONCTIONNEMENT
(%52%$!4%2ÀGLAGEDELlHEUREETDELADATE
!PPUYEZSURLATOUCHE-%.5(%52%$!4%APPARAÅT
!VEC/+VOUSVENEZAUMENUHEURE
2ÀGLEZLlHEUREACTUELLEAVECLESTOUCHES
,ORSQUELlHEUREESTRÀGLÀECONFIRMEZAVEC/+
%FFECTUEZLESRÀGLAGES!.-/)3ET*/52COMMEDÀCRITCIDESSUS(%52%
$!4%APPARAÅT
!PPUYEZSURLATOUCHE-%.5POURREVENIRAUMODEDEFONCTIONNEMENT
All manuals and user guides at all-guides.com